微信搜索关注"91考试网"公众号,领30元,获取公务员、事业编、教师等考试资料40G!
1、选择题 如图所示,利用海水可提取很多重要的化工原料。

下列有关说法正确的是.(? )
A.第①步中除去粗盐中的SO42-、Ca2+、Mg2+、Fe3+等杂质,加入的药品顺序为:Na2CO3溶液→NaOH溶液→BaCl2溶液→过滤后加盐酸
B.第②步中工业上可采用石墨为阴极,铁为阳极,采用阳离子交换膜的电解装置
C.第③步中结晶出的MgCl2?6H2O可在空气中受热分解制无水MgCl2
D.在第④步中溴元素被氧化,第⑤、⑥步中既有溴元素被氧化也有溴元素被还原
参考答案:D
本题解析:
本题难度:简单
2、实验题 现有某铁碳合金,某化学兴趣小组为了测定铁碳合金中铁的质量分数,并探求浓硫酸的某些性质,设计了下图所示的实验装置和实验方案(夹持仪器已省略),请你参与此相活动并回答相应问题。

Ⅰ、探求浓硫酸的某些性质
(1)按图示Ⅰ连接装置,检查装置的气密性,称量E的质量。将mg铁碳合金样品放入A中,再加入适量的浓硫酸。未点燃酒精灯前,A、B均无明显现象,其原因是:___________________________________
(2)点燃酒精灯一段时间后,A、B中可观察到明显的现象,写出A中发生反应的化学方程式_____________________________。 B中的现象是___________________,由此可得到浓硫酸具有____________性。
(3)随着反应的进行,A中还可能发生某些离子反应。写出相应的离子方程式:___________________
(4)反应一段时间后,从A中逸出气体的速率仍然较快,除因温度较高,反应放热外,还可能的原因是
________________________
Ⅱ测定铁的质量分数
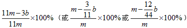
(5)待A中不再逸出气体时,停止加热,拆下E并称重,E增重bg 。铁碳合金中铁的质量分数为____________________(写表达式)。
(6)某同学认为上述方法较复杂,他使用如图Ⅱ所示的装置和其他常用实验仪器测定某些数据即可。为了快速和准确的计算出铁的质量分数,请你帮助这位同学将此方法简述完整________________________________________________________
参考答案:(1)常温下,Fe被浓硫酸钝化,碳不与浓硫酸反应
(2)
,
;
品红溶液逐渐褪色;强氧化
(3)
)
(4)铁、碳在溶液中形成原电池
(5)
(6)用排水法测定的体积(或反应结束后,过滤、洗涤、称量残渣的质量;测定反应前后装置和药品的总质量)(答案合理即可)
本题解析:
本题难度:困难
3、选择题 某同学设计实验从海带中提取碘:①滴加稀硫酸和双氧水;②在海带中加入少量酒精,点燃使其燃烧为灰烬,在灰烬中加水搅拌;③加四氯化碳并振荡;④过滤;⑤分液.该实验的合理操作顺序是( )
A.①③⑤②④
B.②①③④⑤
C.②④①③⑤
D.③①②⑤④
参考答案:C
本题解析:
本题难度:简单
4、选择题 下列有关实验装置、原理或操作正确的是( )
A.
分离乙醇和水
B.
食盐水制食盐晶体
C.
除去氯气中氯化氢
D.
实验室制取氨气
参考答案:B
本题解析:
本题难度:简单
5、选择题 某有机物在氧气中充分燃烧,只生成水蒸气和二氧化碳,且两者物质的量之比为1:1,由此可以得出的结论是( )
A.可以推算出该有机物的化学式
B.分子中C、H原子个数之比为1:2
C.分子中C、H原子个数之比为1:1
D.分子中必定含氧原子
参考答案:B
本题解析:
本题难度:简单