高考省级导航

全国 A安徽 B北京 C重庆 F福建 G广东 广西 甘肃 贵州 H河南 河北 湖南 湖北 黑龙江 海南 J江苏 江西 吉林 L辽宁 N内蒙古 宁夏 Q青海 S山东 山西 陕西 四川 上海 T天津
     X新疆 西藏 Y云南 Z浙江

高考化学高频试题、高中化学题库汇总-压中真题已成为一种习惯

化学基本概念: 物质的组成、性质和分类 化学用语 化学常用计量 溶液和胶体 离子反应 氧化还原反应 化学基本理论: 物质结构和元素周期律 化学反应与能量 化学反应速率和化学平衡 电解质溶液 电化学 常见无机物及其应用: 金属及其化合物 非金属及其化合物 无机综合与推断 物质结构与性质: 原子结构与元素性质 化学键与物质的性质 分子间作用力与物质的性质 有机化合物及其应用: 有机化合物的组成与结构 烃的衍生物 生活中的有机物 高分子化合物 有机合成与推断 化学与生活和技术: 化学与健康 化学与材料的制造、应用 化学与环境保护 化学与资源开发利用 化学与工农业生产 化学实验: 化学实验基础知识 物质的分离、提纯和检验 物质的制备、收集和净化 定量实验 实验方案的设计与评价 化学计算: 溶液浓度计算 pH计算 反应热计算 氧化还原、电化学的计算 反应速率与平衡的有关计算 晶体计算 有机物燃烧规律的计算 认识化学学科: 化学学科的特点 化学史 绿色化学

高中化学知识点讲解《物质的量》高频试题特训(2017年最新版)(六)
2017-09-24 00:10:26 来源:91考试网 作者:www.91exam.org 【
微信搜索关注"91考试网"公众号,领30元,获取公务员、事业编、教师等考试资料40G!

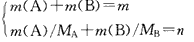
1、填空题  两种物质A、B的混合物的质量为m,所含物质的量的和为n。已知A、B的摩尔质量分别为MA和MB。列出求混合物中A的质量和物质的量的关系式。


参考答案:


本题解析:


本题难度:一般



2、选择题  下列说法中正确的是                                  (   )
A.铁的摩尔质量就是铁的相对原子质量
B.CO32-的摩尔质量是60g/mol
C.1molO2的质量是32g/mol
D.CO2的摩尔质量是44g


参考答案:B


本题解析:A错,摩尔质量在数值上等于该粒子的相对原是;B正确;C错,1molO2的质量是32g;D错,CO2的摩尔质量是44g/mol;


本题难度:一般



3、选择题  NA代表阿伏加德罗常数的数值。下列有关叙述正确的是
A.50℃时,pH=1的1.0L H2SO4溶液中含有的H+数目为0.1 NA
B.标准状况下,2.24L Cl2与过量稀NaOH溶液反应,转移的电子总数为0.2 NA
C.室温下,21.0g乙烯和丁烯的混合气体中含有的氢原子数目为1.5NA
D.3.4gNH3中含N—H键数目为0.2NA


参考答案:A


本题解析:温度只影响水的离子积,所以pH=1,即C(H+)=0.1mol/L,体积1L,则H+ 数目为0.1 NA ,A正确;标况下2.24L氯气等于0.1mol,所以与氢氧化钠反应化合价一半升高,一半降低,转移电子0.1 NA ,B错误;乙烯和丁烯的最简式为CH2,所以n(CH2)=21.0g÷14g/mol=1.5mol,所以含有氢原子为3 NA ,C错误;3.4g氨气等于0.2mol,每个氨气分子中含有3个N-H键,所以总共含N-H键0.6 NA 。


本题难度:一般



4、填空题  氢气、甲烷(CH4)、水各1g,其中含分子数最多的是       ;含氢原子最多的是          ;氢气、甲烷、水各1mol,含分子数是否一样多?            ;含氢原子数最多的是           


参考答案:H2              H2            一样多              CH4   


本题解析:略


本题难度:一般



5、计算题  标准状况下,22.4LHCl气体溶于50mL水再配成250mL溶液:
(1)求所得盐酸的物质的量浓度?
(2)若将此溶液再稀释成1L溶液,求稀释后盐酸的物质的量浓度?
(3)将(2)的溶液取出250mL与足量的Zn反应可以产生多少体积的H2(在标准状况下)?


参考答案:(1)4 mol·L-1?(3分)?(2)1?mol·L-1?(2分)?(3)2.8 L(3分)


本题解析:略


本题难度:简单



】【打印繁体】 【关闭】 【返回顶部
下一篇高考化学知识点总结《难溶电解质..

网站客服QQ: 960335752 - 14613519 - 791315772