1、选择题 已知下列事实:①硝酸的酸性比磷酸强;②硝酸显强氧化性;磷酸不显强氧化性;③氮气与氢气直接化合,磷与氢很难直接化合;④氨比磷化氢稳定。其中能说明氮元素的非金属性比磷元素强的是(?)
A.①②③
B.①②④
C.①③④
D.②③④
2、实验题 固态化合物A由两种短周期元素组成,可与水发生复分解反应,甲组同学用如图装置(夹持装置略)对其进行探究实验。

(1)仪器B的名称是?。
(2)实验中,Ⅱ中的试纸变蓝,Ⅳ中黑色粉末逐渐变为红色并有M生成,则Ⅲ中的试剂为__________________;Ⅳ发生反应的化学方程式为?;Ⅴ中的试剂为____________________。
(3)乙组同学进行同样实验,但装置连接顺序为Ⅰ→Ⅲ→Ⅳ→Ⅱ→Ⅴ→Ⅵ,此时Ⅱ?中现象为?,原因是?。
(4)经上述反应,2.5g 化合物A理论上可得0.56L(标准状况)M;则A的化学式为________________。
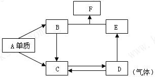
3、填空题 (8分)F可用作化肥,也可用来制炸药,化合物和单质间存在如下关系:

(1)写化学式:A?,F?。
(2)A→C转化的化学方程式:______________________
(3)试写出一种由E制得D的反应的方程式:?
4、计算题 3.84 g铜和一定量浓硝酸反应,当铜反应完毕时,共收集到气体的体积为2.24 L(标准状况)。试求:
(1)反应中消耗硝酸的总物质的量。
(2)把收集到气体的集气瓶倒立于盛有水的水槽中,通入多少毫升标准状况下的氧气,可以使集气瓶充满溶液?
5、选择题 关于磷的下列叙述正确的是(?)
A.红磷有剧毒而白磷没有毒
B.白磷在空气中加热到260 ℃就可以转变成不易燃烧的红燐
C.白磷可以用于制造安全火柴
D.少量的白磷应该保存在水中