微信搜索关注"91考试网"公众号,领30元,获取公务员、事业编、教师等考试资料40G!
1、选择题 冰的晶体中存在的最强作用力是
A.离子键
B.共价键
C.氢键
D.分子间作用力
参考答案:B
本题解析:冰的晶体中存在的分子间作用力<氢键<共价键
本题难度:一般
2、选择题 下列说法或表示方法正确的是
A.放热反应都不需要加热就能发生
B.由C(石墨)= C(金刚石);△H=+1.90 kJ/mol可知,金刚石比石墨稳定
C.在101kPa时,2g氢气完全燃烧生成液态水,放出285.8kJ热量,氢气燃烧的热化学方程式表示为:2H2(g)+O2(g)= 2H2O(l); △H=-285.8kJ/mol
D.在稀溶液中,H+(aq)+ OH-(aq) = H2O(l); △H=-57.3kJ/mol,若将含0.5molH2SO4的浓硫酸与含1molNaOH的溶液混合,放出的热大于57.3kJ
参考答案:D
本题解析:
试题分析:A错误,碳的燃烧,需要加热但是属于放热反应;B,△H大于0,所以C(金刚石)的能量大于石墨,所以金刚石比石墨不稳定;C错误,△H=-571.6kJ/mol;D正确,因为浓硫酸融水放出大量的热量,所以放出的热大于57.3kJ。
点评:本题考查了化学基本概念,是高考考查的热点,该题难度适中,是一道不错的题目。
本题难度:一般
3、计算题 40mL 2mol/L的NaOH 溶液和40mL 2mol/L 的盐酸在19℃时混合,混合后测得溶液的温度为32.6℃。求反应的中和热[混合后溶液的比热容c? ="?" 4.18 J/(g·℃)]。
参考答案:反应的中和热为56.85 kJ/?mol 。
本题解析:酸碱中和反应是放热反应,反应放出的热量可通过反应前后体系温度的变化来计算:Q = -cm(T2-T1)。中和热是在稀溶液中,1mol的H+和1mol OH-发生中和反应生成1molH2O的水时所放出的热量。稀溶液的密度接近于溶剂水的。
⑴此稀溶液反应放出的热量为::Q = cm(T2-T1)=" 4.18" J/(g·℃)×(40mL+40mL)×1g/mL×(32.6℃-19℃)=" 4547.84" J 。
⑵求反应的中和热:
依据?????? HCl????+?????? NaOH
本题难度:简单
4、选择题 已知反应①101kPa时,2C(s)+O2(g)=2CO(g);△H=-221kJ/mol,②稀溶液中,H+(aq)+OH- (aq)=H2O(1);△H=-57.3kJ/mol,下列结论正确的是
A.碳的燃烧热为110.5kJ/mol
B.H2SO4(aq)+2NaOH(aq) = Na2SO4(aq)+2H2O(l)△H=-57.3kJ/mol
C.①的反应热为-221kJ/mol
D.CH3COOH (aq)+NaOH(aq) = CH3COONa(aq)+H2O(l)△H=-57.3kJ/mol
参考答案:C
本题解析:中和热指稀酸稀碱中和生成1mol H2O放出的热量,反应热必需带正负号,
本题难度:一般
5、填空题 (16分)甲醇又称“木醇”或“木精”,沸点64.7℃,是无色有酒精气味易挥发的液体。甲醇有毒,误饮5~10mL能双目失明,大量饮用会导致死亡。甲醇是重要的化学工业基础原料和液体燃料,可用于制造甲醛和农药,并常用作有机物的萃取剂和酒精的变性剂等。
(1)工业上可利用CO2和H2生产甲醇,方程式如下:
CO2(g)+3H2(g)
CH3OH(l)+H2O (g) △H=Q1kJ·mol-1
又查资料得知:①CH3OH(l)+1/2 O2(g)
CO2(g)+2H2(g)△H=Q2kJ·mol-1
②H2O(g)=H2O(l) △H= Q3kJ·mol-1,则表示甲醇的燃烧热的热化学方程式为 。
(2)工业上可用CO和H2O (g) 来合成CO2和H2,再利用(1)中反应原理合成甲醇。某温度下,将1molCO和1.5molH2O充入10L固定密闭容器中进行化学反应:CO(g)+H2O(g)
CO2(g)+H2(g) △H>0,当反应进行到10min时达到平衡,此时测得H2为0.6 mol。回答下列问题:
①0~10min内H2O(g)的平均反应速率为 。
②若想加快正反应速率的同时提高CO的转化率,可以采用的方法是 。
a.升高温度 b.缩小容器的体积
c.增大H2O (g)的浓度 d.加入适当的催化剂
③若保持温度容积不变再向其中充入1molCO和0.5molH2O(g),重新达到化学平衡状态时,此时平衡混合气体中H2的体积分数为 。
(3)甲醇燃料电池是符合绿色化学理念的新型燃料电池,下图是以甲醇燃料电池(甲池)为电源的电解装置。已知:A、B、C、D、E、F都是惰性电极,丙中为0.1 mol/L CuSO4溶液 (假设反应前后溶液体积不变),当向甲池通入气体a和b时,D极附近呈红色。回答下列问题:

① a物质是 ,A电极的电极反应式为 。
② 乙装置中的总化学反应方程式为 。
③ 当乙装置中C电极收集到224mL(标况下)气体时, 丙中溶液的pH= 。
参考答案:(16分)(每空2分)(1)CH3OH(l)+3/2 O2(
本题解析:
试题分析:(1)已知反应:① CO2(g)+3H2(g)
CH3OH(l)+H2O (g) △H=Q1kJ·mol-1,② CH3OH(l)+1/2 O2(g)
CO2(g)+2H2(g)△H=Q2kJ·mol-1,③ H2O(g)=H2O(l) △H= Q3kJ·mol-1,则根据盖斯定律可知2×①+3×②+2×③即可得到甲醇的燃烧热的热化学方程式为CH3OH(l)+3/2 O2(g) = CO2(g)+2H2O(l) ΔH=(2Q1+3Q2+2Q3)kJ/mol。
(2)①当反应进行到10min时达到平衡,此时测得H2为0.6 mol,则根据方程式可知消耗水蒸气是0.6mol,水蒸气浓度变化量是0.6mol÷10L=0.06mol/L,实验用氢气表示的反应速率为0.06mol/L÷10min=6×10-3 mol·L-1·min-1。
②a.正方应是吸热反应,则升高温度反应速率加快,平衡向正反应方向进行,CO的转化增大,a正确; b.反应前后体积不变,则缩小容器的体积压强增大,反应速率较加快,淡平衡不移动,CO转化率不变,b错误;c.增大H2O (g)的浓度正反应速率增大,平衡向正反应方向进行,则CO转化率增大,c正确; d.加入适当的催化剂反应速率加快,但平衡不移动,CO转化率不变,d错误,答案选ac。
③若保持温度容积不变再向其中充入1molCO和0.5molH2O(g),由于温度不变,则平衡常数不变,所以
CO(g)+H2O(g)
CO2(g)+H2(g)
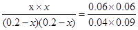
起始浓度(mol/L) 0.2 0.2 0 0
转化浓度(mol/L) x x x x
破坏你的(mol/L) 0.2-x 0.2-x x x
所以
解得x=0.1
所以此时平衡混合气体中H2的体积分数为
(3)①D极附近呈红色,这说明D电极周围产生氢氧根离子,即D电极是阴极氢离子放电,则A是负极。原电池中负极失去电子,则A通入的物质是CH3OH,电解质是氢氧化钾,则负极电极反应式为CH3OH - 6e- + 8OH-=CO32- + 6H2O。
②乙装置是电解饱和食盐水,则电解的总反应式为2NaCl + 2H2O
2NaOH + Cl2↑+ H2↑。
③当乙装置中C电极是阳极,氯离子放电生成氯气,如果收集到224mL(标况下)气体即氯气是0.01mol,则转移0.02mol电子,所以根据电子转移守恒可知丙装置中产生0.02mol氢离子,氢离子浓度是0.02mol÷0.2L=0.1mol/L,则丙中溶液的pH=1。
考点:考查盖斯定律应用、反应速率、平衡常数计算与应用、外界条件对平衡状态的影响以及电化学原理的应用等
本题难度:困难