微信搜索关注"91考试网"公众号,领30元,获取公务员、事业编、教师等考试资料40G!
1、填空题 有甲、丙两种物质:
?
?
甲?丙
由甲出发合成丙的路线之一如下:

(1)下列物质不能与B反应的是?(选填序号)。
a.金属钠?b.FeCl3?c.碳酸钠溶液?d.HBr
(2)C的结构简式为___?________;丙的结构简式为?。
(3)D符合下列条件的所有同分异构体?种,任写其中一种能同时满足下列条件的异构体结构简式?。
a.苯环上的一氯代物有两种?
b.遇FeCl3溶液发生显色反应
c.能与Br2/CCl4发生加成反应
2、填空题 “立方烷”是一种新合成的烃,其分子为正方体结构,其碳架结构如图所示:
(1)“立方烷”的分子式是______;“立方烷”有多种同分异构体,其中一种属于芳香烃的同分异构体的结构简式是______.
(2)该立方烷的二氯代物具有同分异构体的数目是______.
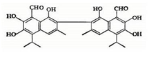
3、选择题 2012年3月上海新闻栏目曾报道杭州世纪联华超市在售的某品牌鸡蛋为“橡皮弹”, 煮熟后蛋黄韧性胜过乒乓球,但经检测为真鸡蛋。专家介绍,这是由于鸡饲料里添加了棉籽饼,从而使鸡蛋里含有过多棉酚所致。其结构简式如右图所示:下列说法不正确的是
?
A.该化合物的分子式为:C30H30O8
B.1mol棉酚最多可与14mol H2加成,与6molNaOH反应
C.在一定条件下,可与乙酸反应生成酯类物质
D.该物质可以使酸性高锰酸钾溶液褪色
4、选择题
的一种同分异构体能发生银镜反应,还能水解生成不含甲基的芳香化合物甲。下列关于甲的说法正确的是
A.甲的分子式为C7H8O2
B.甲物质可以和氢氧化钠溶液反应
C.甲物质共有5种同分异构体(包括甲物质本身)
D.1mol甲物质和足量钠反应可生成0.5mol氢气
5、选择题 下列说法正确的是(?)
A.分子式相同的物质一定是同种物质。
B.分子量相同的不同物质一定是同分异构体
C.通式相同的不同物质一定是同系物
D.分子式相同的不同物质一定是同分异构体