高考省级导航

全国 A安徽 B北京 C重庆 F福建 G广东 广西 甘肃 贵州 H河南 河北 湖南 湖北 黑龙江 海南 J江苏 江西 吉林 L辽宁 N内蒙古 宁夏 Q青海 S山东 山西 陕西 四川 上海 T天津
     X新疆 西藏 Y云南 Z浙江

高考化学高频试题、高中化学题库汇总-压中真题已成为一种习惯

化学基本概念: 物质的组成、性质和分类 化学用语 化学常用计量 溶液和胶体 离子反应 氧化还原反应 化学基本理论: 物质结构和元素周期律 化学反应与能量 化学反应速率和化学平衡 电解质溶液 电化学 常见无机物及其应用: 金属及其化合物 非金属及其化合物 无机综合与推断 物质结构与性质: 原子结构与元素性质 化学键与物质的性质 分子间作用力与物质的性质 有机化合物及其应用: 有机化合物的组成与结构 烃的衍生物 生活中的有机物 高分子化合物 有机合成与推断 化学与生活和技术: 化学与健康 化学与材料的制造、应用 化学与环境保护 化学与资源开发利用 化学与工农业生产 化学实验: 化学实验基础知识 物质的分离、提纯和检验 物质的制备、收集和净化 定量实验 实验方案的设计与评价 化学计算: 溶液浓度计算 pH计算 反应热计算 氧化还原、电化学的计算 反应速率与平衡的有关计算 晶体计算 有机物燃烧规律的计算 认识化学学科: 化学学科的特点 化学史 绿色化学

高中化学必备知识点《物质的组成》高频试题巩固(2017年最新版)(一)
2017-03-05 15:56:11 来源:91考试网 作者:www.91exam.org 【
微信搜索关注"91考试网"公众号,领30元,获取公务员、事业编、教师等考试资料40G!

1、简答题  【物质结构与性质】
过渡元素具有较多的空轨道,所以第四周期的Cr、Fe、Co、Ni、Cu、Zn等多种金属能形成配合物。
(1)基态Cu原子的核外电子排布式为?
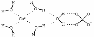
(2)科学家通过X射线测得胆矾结构示意图可简单表示如下:
?
图中虚线表示的作用力为?
(3)胆矾溶液与氨水在一定条件下可以生成Cu(NH3)4SO4·H2O晶体。在Cu(NH3)4SO4·H2O晶体中,[Cu(NH3)4]2+为平面正方形结构,则呈正四面体结构的原子团是?,其中心原子的杂化轨道类型是?
(4)金属镍粉在CO气流中轻微加热,生成无色挥发性液态Ni(CO)4,呈正四面体构型。试推测四羰基镍的晶体类型是 ?, Ni(CO)4易溶于下列?
A.水
B.四氯化碳
C.苯 
D.硫酸镍溶液

(5)元素X位于第四周期,其基态原子的内层轨道全部排满电子,且最外层电子数为2。元素Y基态原子最外层电子数是其内层的3倍。X与Y所形成化合物晶体的晶胞如图所示,该化合物的化学式为?



2、选择题  16O与18O是氧元素的两种核素,NA表示阿伏加德罗常数,下列说法正确的是
A.16O与18O互为同分异构体
B.16O与18O核外电子排布方式不同
C.通过化学变化可以实现16O与18O间的相互转化
D.标准状况下,1.12L16O2和1.12L18O2均含有0.1NA个氧原子



3、填空题  A、B、C、D都是短周期元素,原子半径C> D >A>B。已知:A、B位于同一周期;A、D位于同一主族;D原子核内的质子数等于A、B原子核内的质子数之和;D原子最外电子层上的电子数是C原子最外电子层上的电子数的4倍。试回答:
(1)C和D元素分别是: C??,? D??
(2)这四种元素中,在常温常压下的液体或气态氢化物的稳定性由大到小的顺序为??
(3)A和B形成的三原子分子的电子式是??, B与C形成的原子个数比为1 :1的化合物的电子式为??,元素D的氧化物属于??晶体。
(4) 写出以D的氧化物为原料工业制取单质D的化学方程式为??



4、选择题  短周期元素X、Y、Z、R在周期表中的位置如图。下列说法正确的是

?
?
?
?
X
Y
?
?
?
?
?
Z
R
?
?
A.气态氢化物的稳定性:X > Y
B.原子半径大小:Y> Z
C.X和Y形成的化合物是离子化合物
D.Z、R的最高价氧化物对应的水化物都是强酸



5、选择题  在国庆阅兵式上,展示了我国研制的各种导弹。导弹之所以有神奇的命中率,是制导弹合金材料中的稀土元素钕(60Nd)的贡献。下列说法正确的是(?)
A.Nd、Nd和Nd互为同素异形体
B.Nd、Nd和Nd的化学性质不同
C.Nd原子中含有60个质子和142个中子
D.Nd、Nd和Nd都是钕元素的不同核素



Tags:高考 化学 物质的组成 题库 知识点 汇总 高中
】【打印繁体】 【关闭】 【返回顶部
下一篇高考化学知识点整理《铜》高频考..

网站客服QQ: 960335752 - 14613519 - 791315772