微信搜索关注"91考试网"公众号,领30元,获取公务员、事业编、教师等考试资料40G!
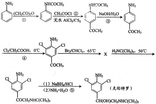
1、填空题 【化学—有机化学基础】瘦肉精又名克伦特罗(4-氨基-α-叔丁胺甲基-3,5-二氯苯甲醇),是一种β2肾上腺素受体激动剂,临床上用于治疗哮喘。可由下图所示路线合成:

其中X表示某中间物质,请回答下列问题。
(1)判断反应④的反应类型?。
(2)书写反应③所代表的化学反应方程式:
?。
(3)试推断中
间物质X的结构简式:?。
(4)对氨基苯乙酮
的同分异构体有多种,请写出符合以下条件的其中任意一种?
a.苯环与氨基相连? b.与新制的Cu(OH)2悬浊液加热,有红色物质生成
c.苯环上有2个取代基
(5)①②③代表的整个反应过程完成了苯胺对位的酰基化,也完成了对?(填官能团名称)的保护,同时也避免了一些副反应的发生。
2、填空题 华法林是一种治疗心脑血管疾病的药物,可由化合物E和M在一定条件下合成得到(部分反应条件略)

(1)A的名称为?,A
B的反应类型为?。?
(2)D
E的反应中,加入的化合物X与新制Cu(OH)2反应产生砖红色沉淀的化学方程式为
?。
(3)G
J为取代反应,其另一产物分子中的官能团是?。
(4)L的同分异构体Q是芳香酸,Q
?R(C8H7O2Cl)
?S
?T,T的核磁共振氢谱只有两组峰,Q的结构简式为?,R
S的化学方程式为?。
(5)图中,能缩合成体型高分子化合物的酚类单体是?。

3、推断题 MMA既是一种高分子化合物(有机玻璃)的单体,又是制取甲基丙烯酸丙酯等的重要原料。现有三条制备高分子(MMA)的途径,其流程下如:

(1)工业上将A和甲醇及过量硫酸一起,一步反应生成MMA,该反应的化学方程式为_________________________。
(2)反应②是在500℃并有催化剂存在的条件下发生的,则其反应类型为:____________。
(3)某物质既能发生银镜反应,又能发生水解反应,其分子中还有手性碳原子,并与
互为同分异构体,则其物质结构简式为:_____________。
(4)物质D的核磁共振氢谱有两个峰,它与CO、CH3OH以物质的量之比1︰1︰1反应恰好生成MMA,则D的结构简式为_______________,该方法的优点是_______________。
(5)MMA和1-丙醇反应制取甲基丙烯酸丙酯的化学方程式为:____________________。
(6)根据题中流程里提供的新信息,写出由(CH3)2C=CH2制备化合物

的合成路线流程图(无机试剂任选)。合成路线流程图示例如下

____________________________
4、填空题 胡萝卜中含有大量的β-胡萝卜素,被人体吸收后可转化成视黄醇(即维生素A),是目前最安全补充维生素A的产品。在体内酶的催化下,1 mol β-胡萝卜素可氧化为2 mol视黄醛,然后再转化为视黄醇,其过程如下:

已知:
完成下列填空:
(1)β-胡萝卜素的化学式为_________________。反应I的类型为_________。
(2)β-胡萝卜素在人体吸收时需要相应的溶剂,下列适合作为溶剂的是________(选填编号);
a. 水? b. 油脂? c. 苯? d. 乙醇
许多保健品中都含有β-胡萝卜素,从其结构推测可能的作用是________(选填编号)。
a. 提供蛋白质? b. 补充微量元素? c. 抗氧化剂? d. 调节pH
(3)视黄醛的一种同分异构体属于萘(
,C10H8)的衍生物,其可能具有的化学性质有________(选填编号)。
a. 与溴水发生加成反应? b. 能与氯化铁溶液发生显色反应
c. 发生银镜反应?d. 能使酸性高锰酸钾溶液褪色
(4)丁烯酮(CH2=CHCOCH3)是合成视黄醇和β-胡萝卜素的重要原料之一。工业上采用如下流程合成丁烯酮:
?
写出A的结构简式:__________。?写出反应II的化学方程式:___________________。
5、选择题 由乙醇制取乙酸乙二酯,最简便的流程途径顺序正确的是
①取代反应②加成反应③氧化反应④还原
反应⑤消去反应⑥酯化反应⑦中和反应⑧缩聚反应
A.②①③⑥
B.①②③⑤⑦
C.⑤②①③⑧
D.①②⑤③⑥