微信搜索关注"91考试网"公众号,领30元,获取公务员、事业编、教师等考试资料40G!
               
                  
                   
     
      
            1、推断题  芳香烃A是一种重要的有机化工原料,以A为原料制备药品消炎灵(盐酸祛炎痛)的中间产物F的转化路线为:

(1)E中含氧官能团的名称是__________。C→E的有机反应类型是_______________。
(2)写出A→B的化学方程式__________________________________________________。
(3)E在一定条件下可聚合生成热固性很好的功能高分子G,试写出G的结构简式__________________。
(4)上述A、B、C、D、E、F六种有机物中互为同分异构体的是(用字母代号表示)____________________。
 
	参考答案:(8分)(1)羧基(1分);还原反应(1分)
(2)
(2分)
(3)
(2分) (4)B和E(2分)
	本题解析:根据A生成B的反应条件可知,该反应是硝化反应。则根据B的结构简式可知,A是甲苯,结构简式是
。B中的甲基被酸性高锰酸钾溶液氧化生成羧基,因此C的结构简式是
。根据F的结构简式可知,E中含有氨基,即C生成E是硝基的还原反应,所以E的结构简式是
。根据F的结构简式可知,D和E发生的是取代反应,因此D的结构简式是
。
(1)E中含氧官能团的名称是羧基。C→E的有机反应类型是还原反应。
(2)A生成B是甲苯的硝化反应,反应的化学方程式是
。
(3)E分子中含有羧基和氨基,能发生缩聚反应生成高分子化合物,因此生成物G的结构简式是
。
(4)分子式相同,结构不同的化合物互为同分异构体,因此根据有机物的结构简式可知,互为同分异构体的是B和E。
	本题难度:困难
	        2、简答题  2012年11月某白酒企业生产的白酒被曝塑化剂超标267%,白酒产品中的塑化剂主要源于塑料接酒桶、塑料输酒管、成品酒塑料内盖等.DBP(邻苯二甲酸二丁酯)是塑化剂的一种,可由下列路线合成:

已知以下信息:
①
②
(-R1、-R2表示氢原子或烃基)
(1)A的结构简式______,D→E的反应类型______.
(2)DBP的分子式为______,D的结构简式是______.
(3)由B和E以物质的量比1:2合成DBP的化学方程式:______.
(4)写出同时符合下列条件的B的所有同分异构体结构简式______.
①能和NaHCO3溶液反应生成CO2③能使FeC13溶液发生显色反应
②能发生银镜反应④苯环上含碳基团处于对位.
 
	参考答案:由B可知A应为
,甲基被氧化为羧基,由信息②可知D为CH3CH=CHCHO,则E为CH3CH2CH2CH2OH,B与E的反应为酯化反应,DBP为
,
(1)通过以上分析知,A的结构简式为
,D和氢气发生加成反应生成E,所以其反应类型是加成反应,故答案为:
;加成反应;
(2)DBP为
,其分子式为C16H22O4,D的结构简式为CH3CH=CHCHO,
故答案为:C16H22O4;CH3CH=CHCHO;
(3)E为CH3CH2CH2CH2OH,与邻苯二甲酸发生酯化反应,反应的方程式为
,
故答案为:
;
(4)①能和NaHCO3溶液反应生成CO2说明含有羧基;
③能使FeC13溶液发生显色反应说明含有酚羟基;
②能发生银镜反应说明含有醛基;
④苯环上含碳基团处于对位,
则符合条件的B的同分异构体有
,
故答案为:
.
	本题解析:
	本题难度:简单
	        3、选择题  (18分)已知方框内是食品香精菠萝酯的生产路线,A、B又能发生方框外所示的转化关系。A、B、C的分子式分别C2H3ClO2、C8H8O3、C3H6O。

信息:—OH和碳碳双键不能连在同一个碳原子上。
根据所给信息完成以下问题:
(1)写出指定的结构简式:B?;E?。
(2)反应①属于?反应(填反应类型);反应②进行的条件是:?。
(3)1mol菠萝酯最多能与?mol H2发生加成反应。
(4)写出生成高分子F的化学方程式:?。
(5)写出满足下列条件的B的同分异构体:属于酯类;能使FeCl3溶液显色;苯环上只有两个取代基且处于对位。?、?、?、?(有几种填写几种)。
 
	参考答案:(1)
、
(每空2分)
(2)取代(2分)、NaOH的水溶液且加热(2分)
(3)4(2分)
(4)
(2分)
(5)
、
、
	本题解析:根据C能与B生成酯并结合其分子式可知C中含有—OH,又因C能发生加成反应可知C中含有C=C键,又因—OH与C=C不能连在同一碳原子上,故C的结构简式为H2C=CH—CH2OH,进而可知生成F的化学方程式为:
。根据D能缩聚生成E并结合A的分子式可知D中含有一个—COOH和一个—OH,故A、D、E的结构简式分别为HOOC-CH2Cl、HOOC-CH2OH、
,进而可知反应②为卤原子的水解并判断其反应发生的条件。根据A、B的分子式可知A与苯酚生成B的同时有HCl生成,故反应①为取代反应,B的结构简式为
,进而可以推出菠萝酯的结构简式为
,1mol菠萝酯最多能与4molH2发生加成反应。根据信息可知满足条件的B的同分异构体符合
通式且Y中含有酯基。根据剩余原子数可知Y有CH3OOC-、HCOOCH2-、CH3COO-三种,故满足条件的同分异构体也为三种。
	本题难度:一般
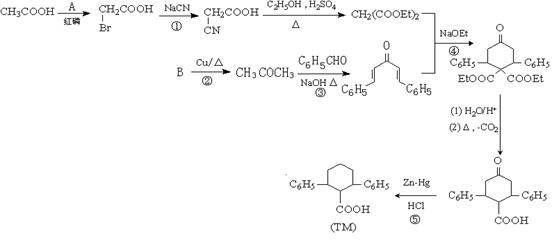
	        4、填空题  已知由有机物B、苯甲醛、乙酸、乙醇合成目标产物
,其合成路线如下图所示(其中Et表示乙基)。

完成下列填空:
(1)写出反应类型:反应④?、反应⑤?
(2)写出物质A的分子式________ ,B的名称是?。
(3)写出下列反应的化学方程式:
②____________________________________________________________。
③___________________________________________________________。
(4)C9H10O是苯甲醛的同系物,其中苯环上含有两个取代基的同分异构体共有____种,写出
其中一种的结构简式_____________________。
(5)如果只用一种试剂通过化学反应(必要时可以加热)鉴别合成原料中的乙酸、乙醇、苯甲醛。这种试剂是______________,其中苯甲醛检出的现象是_______________________。
(6)目标产物(结构如图)是否有含三个苯环的同分异构体____(填“有”或“无”),理由是__________________。

 
	参考答案:(本题共12分,每空1分)
(1)加成、还原
(2)Br2, 2-丙醇。
(3)②2CH3CH(OH)CH3+O2
2CH3COCH3+2H2O
③
?
(4)6, 
(5)新制氢氧化铜悬浊液, 加热后产生红色沉淀
(6)无,不饱和度不匹配(或H的个数不匹配)
	本题解析:(1)反应④反应物中碳碳双键断开一个键,发生了加成反应;反应⑤发生了得H反应,为还原反应。
(2)生成物分子取代了1个Br,所以A为Br2;B催化氧化生成丙酮,故B为2-丙醇。
(3)反应②为2-丙醇催化氧化生成丙酮的反应;③为2个苯甲醛分子与1个丙酮分子发生脱水反应。
(4)两个取代基可以为醛基、乙基,分别位于邻、间、对3种结构;也可以为—CH3、—CH2CHO,也有3种结构,共6种同分异构体。
(5)含醛基的物质能与新制氢氧化铜悬浊液在加热条件反应,生成红色沉淀,可用于检验。
(6)三个苯环H原子数目减小,与目标产物的分子式不同,所以没有含三个苯环的同分异构体。
	本题难度:困难
	        5、推断题  某有机化合物X(C7H8O)与另一有机化合物Y发生如下反应生成化合物Z(C11H14O2): 

(1)X是下列化合物之一,已知X不能与FeCl3溶液发生显色反应,则X是____________(填标号字母)。
A.
B.
C.
D.
(2)Y的分子式是_______________ ,可能的结构简式是________________和______________。
(3)Y有多种同分异构体,其中一种同分异构体E发生银镜反应后,其产物经酸化可得到F(C4H8O3)。F可发生如下反应:该反应的类型是_____________,E的结构简式是________________。
(4)若Y与E具有相同的碳链,则Z的结构简式为_______________。 
 
	参考答案:(1)D
(2)C4H8O2;CH3CH2CH2COOH;CH3CH(CH3)COOH 
(3)酯化反应;CH2(OH)CH2CH2CHO 
(4)
	本题解析:
	本题难度:一般