微信搜索关注"91考试网"公众号,领30元,获取公务员、事业编、教师等考试资料40G!
1、简答题 (15分)(1)碳、氮、氧的第一电离能大小顺序为?,氧原子电子排布式为?。
(2)氨分子氮原子杂化类型?,氨水中四种氢键哪一种是主要的?,规律是什么??。画出氢氟酸溶液中最主要氢键?。
?
?
?
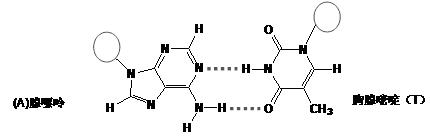
(3)DNA中四种碱基间通过氢键可能的配对方式,用虚线把氢键表示出来

(4)试分析富马酸的K2大于其顺式异构体马来酸K2的原因。

(5)下表是三种火箭推进剂的沸点,为什么火箭推进剂选择氮元素??。
物质
| H2
| N2H4
| H2NN(CH3)2
|
沸点/℃
| -252.8
| 113.5
| ~116
|
(6)常压下,水冷却至0 ℃以下,即可结晶成六方晶系的冰。日常生活中见到的冰、霜和雪等都是属于这种结构,其晶胞如下图所示(只显示氧原子,略去氢原子),晶胞参数侧棱c=737 pm,菱形底边a=452 pm,底面菱形的锐角是60°。

回答下列问题:
①计算晶胞中含有几个水分子。 ②计算冰的密度。
参考答案:(1)氮>氧>碳?1s22s2p4?
(2)sp3?D?极性键较强的氢和非金属性较弱的元素间形成氢键 ?O…H—F
(3)

?
?(4)酸性氢原子参与形成氢键时,其酸性减弱。
(5)形成氢键,火箭载体减去了冷却系统的质量
(6)①冰晶胞中含有水分子的个数为:?

本题解析:(1)一般情况下,元素的原子半径越小,元素的非金属性越强,其电离能就越大。但是由于N原子的最外层电子处于半充满的稳定状态,所以其第一电离能比O大。因此,这三种元素的第一电离能的大小关系为:氮>氧>碳。氧原子电子排布式为1s22s2p4;(2)在氨分子氮原子杂化类型sp3杂化。在氨水中氨分子中的N原子与水分子中的H原子之间形成的氢键是主要的。因此选项为D。规律是极性键较强的氢和非金属性较弱的元素间形成氢键。在氢氟酸溶液中最主要氢键O…H—F。(3)氢键用虚线表示为:
;
。(4)在富马酸的K2大于其顺式异构体马来酸K2的原因是酸性氢原子参与形成氢键时,其酸性减弱。(5)由三种火箭推进剂的沸点可知:当其组成中含有N元素时,分子之间形成氢键,使物质的沸点较高,火箭载体减去了冷却系统的质量。使火箭的质量更小,发射更容易。①冰晶胞中含有水分子的个数为:
?;
.
本题难度:一般
2、填空题 (7分)元素X、Y、Z、M、Q均为短周期主族元素,且原子序数依次增大。已知元素Y最高价氧化物对应水化物与它的氢化物反应能生成一种盐;Z原子最外层电子数与核外电子总数之比为3:4;M可与Z形成阴、阳离子个数比为1:2的两种化合物,Q原子的最外层电子数与次外电子数之比为3:4,YX3常温下为气体。
(1)化合物A、B由X、Z、M、Q四种元素中的三种组成的强电解质,且两种物质水溶液的酸碱性相同,组成元素的原子数目之比均为1:1:1,若A能抑制水的电离,B能促进水的电离,则化合物A的化学式为?,B的化学式是?。
(2)Se是人体必备的微量元素,与Q同一主族。该族二至五周期元素单质分别与H2反应生成1mol 气态氢化物的反应热如下,表示生成1 mol哂化氢反应热(△H)的是?(填字母代号)。
A.+99.7kJ·mol-1?B.+29.7 kJ·mol-1
?C.-20.6 kJ·mol-1?D.-241.8 kJ·mol-1
(3)X与Z、X与Q均可形成18电子分子甲和乙,写出甲、乙两种分子在水溶液中反应生成Q单质的化学方程式?。X和Y也可形成18电子分子丙,它通常是一种液态火箭燃料。25℃、常压下,3.2g丙在氧气中完全燃烧放出热量为62.4kJ,请写出丙完全燃烧的热化学反应方程式?。
(4)X、Y两种元素形成的离子化合物的电子式为?。
参考答案:

本题解析:略
本题难度:一般
3、选择题 现有一瓶A和B的混合物,已知它们的性质如下表。
A.过滤
B.蒸发
C.分液
D.蒸馏
参考答案:D
本题解析:正确答案:D
A、分离固体和液体;B、分离固体溶质和液体;C、分离互不相溶的两种液体;D、正确,分离沸点不同的两种液体,大于30℃时分离效果较好。
本题难度:简单
4、选择题 短周期元素中,族序数等于周期数的两倍的两元素形成的化合物的化学式是(?)
A.CS2
B.CO2
C.SO2
D.SiO2
参考答案:A
本题解析:短周期元素中,族序数等于周期数的两倍的两元素是碳元素和硫元素,二者形成的化合物化学式是CS2,答案选A。
点评:该题以“周期表中元素的推断”为载体,考查学生对元素周期表的熟悉程度及其对表中各元素性质和相应原子结构的周期性递变规律的认识和掌握程度。考查了学生对物质结构与性质关系以及运用元素周期律解决具体化学问题的能力。
本题难度:简单
5、填空题 现有部分短周期主族元素的有关信息,如下表:
元素编号
| T
| X
| Y
| Z
| W
|
元素的性质或原子结构情况
| 短周期主族元素中原子半径最大
| 最外层上的电子数比次外层少1个且单质是气体
| 核外共有13种运动状态不同的电子
| 若低温蒸发液态空气,因其沸点较低可先获得它的单质
| 核外有5种不同能量的电子且其中有两个未成对的电子
|
?
(1)Y的最外层电子排布式是__?__,它的单质与碳生成的化合物与水反应生成甲烷和白色沉淀。写出该反应的化学方程式__?。
(2)元素T的单质与水反应的离子方程式是?,
在短周期主族元素中,X元素与其相邻元素的原子半径从小到大的顺序是_?
(写元素符号)。
(3)W形成的一种单质,其式量为256,易溶于CS2,该单质的化学式为___?__,它属于_?___晶体(写晶体类型)。
(4)如图为Z元素所在周期气态氢化物R-H键的键能大小,则该周期元素气态氢化物键能大小与键长的关系为_____?(用文字简述)。

?
参考答案:(1)3s23p1(1分);? Al4C3 + 12H2O →4Al(OH)3 +3CH4↑(1分);
(2)2Na + 2H2O→2Na+ +2OH- +H2↑、(1分); F、Cl、S(1分);
(3)S8,(1分)?分子(1分);
(4)除CH4外,键长减小,键能增大(2分,“除CH4外”不写只给1分)
本题解析:根据题中所给信息可知:T、Na;X、Cl;Y、Al ;Z、N;W、Si ;
(1)Al 的最外层电子排布式为:3s23p1;它的单质与碳生成的化合物与水反应:Al4C3 + 12H2O →4Al(OH)3 +3CH4↑;
(2)钠的单质与水反应的离子方程式是:2Na + 2H2O→2Na+ +2OH- +H2↑;同周期从左往右半径减小知: F、Cl、S;
(3)根据式量知:S8;?易溶于CS2可知为分子晶体;
(4)结合图像可知:除CH4外,键长减小,键能增大。
本题难度:一般