微信搜索关注"91考试网"公众号,领30元,获取公务员、事业编、教师等考试资料40G!
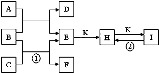
1、填空题 (10分)已知A为酸式盐,B为某二价主族金属元素的化合物,常温常压下C、D、F、G、I均呈气态。等物质的量A、B与少量的水充分混合能恰好完全反应。图中反应条件(除高温外)均已略去。请回答下列问题:

(1)写出B的电子式?,
(2)写出A与B反应的化学方程式?。
(3)如对气体
G进行加压操作,产生的现象是?。
(4)写出下列反应的离子方程式:
①在A溶液中加入M?。
②向A溶液中加入过量NaOH
溶液,并加热?。
参考答案:A:NH4HCO3? B: CaC2? C:NH3? D:C2H2
E:CaCO3 F:NO G:NO2? H:H2O? I:CO2? J:CaO? K:Ca(OH)2? M:HNO3
本题解析:略
本题难度:一般
2、简答题 A、B、C、D、E五种物质中含有同一种元素,其相互转化关系如图所示.其中A、B、C、D在常温下都是气体,B为红棕色.
(1)写出各下列物质的化学式:则A是______,D是______;
(2)写出下列反应的化学方程式:B→C______,E→C______.
参考答案:B为红棕色,应为NO2,根据NO2的性质可知NO2反应能分别生成NO和HNO3,则C应为NO,E为HNO3,NO2可与水反应生成
NO,稀HNO3可与Cu反应生成NO,含N元素物质中能生成NO的还有N2和NH3,其中N2和氢气反应还可生成NH3,
则分别是:A:N2,B:NO2,C:NO,D:NH3,E:HNO3,
(1)由以上分析可知A为N2,D为NH3,故答案为:N2;NH3;
(2)NO2可与水反应生成NO,方程式为3NO2+H2O=2HNO3+NO,稀HNO3可与Cu反应生成NO,
反应的方程式为8HNO3+3Cu=3Cu(NO3)2+2NO+4H2O,
故答案为:3NO2+H2O=2HNO3+NO;8HNO3+3Cu=3Cu(NO3)2+2NO+4H2O.
本题解析:
本题难度:一般
3、简答题 如图是由短周期元素组成的一些单质及其化合物之间的转化关系图.常温常压下,D、F、K均为无色无刺激性气味的气体,其中K能引起温室效应,B是最常见的无色液体,A是由单质C在D中燃烧生成的淡黄色固体.(反应中生成的部分物质已略去)请回答下列问题:

(1)物质A的化学式为______.
(2)K的电子式为______.
(3)反应①的离子方程式为______;反应②的化学方程式为______.
参考答案:A是由单质C在D中燃烧生成的淡黄色固体,应为Na2O2,B是最常见的无色液体,应为H2O,则D为O2,E为NaOH,C为Na,F为H2,由转化关系可知K为CO2,H为Na2CO3,I为NaHCO3,
(1)由以上分析可知A为Na2O2,故答案为:Na2O2;
(2)由以上分析可知化合物K为CO2,电子式为
,故答案为:
;
(3)反应①为Na和H2O的反应,反应的离子方程式为2Na+2H2O═2Na++2OH-+H2↑,反应②为2NaHCO3△.Na2CO3+CO2↑+H2O,
故答案为:2Na+2H2O═2Na++2OH-+H2↑;2NaHCO3△.Na2CO3+CO2↑+H2O.
本题解析:
本题难度:一般
4、填空题 (共12分)物质之间的转化关系如下图,其中A、D、E、F、H为常见单质,其余为化合物,且单质E和单质F在点燃或加热的条件下生成淡黄色的固体,B常温下为液态化合物。

试回答下列有关问题:
(1)A在元素周期表的位置?周期?族。
(2)分别写出反应②⑦的化学方程式?;?。
(3)写出引发反应④的实验操作?;
(4)写出用A与H作电极材料插入G溶液形成闭合电路后的负极反应式是:
?。
(5)写出上图中物质C与稀HNO3溶液反应的离子方程式:?。
参考答案:(每空2分,共12分)
(1) 4 ?Ⅷ族 (2分)?
(2) 3Fe+4H2O(g)
?Fe3O4+4H2 (2分)?Al2O3+2NaOH=2NaAlO2+H2O(2分)
(3)加少量KClO3,插上镁条并将其点燃(2分)
(4) Al-3e-+4OH-=AlO2-+2H2O (2分)
(5)3Fe3O4+NO3-+28H+=9Fe3++NO↑+14H2O (2分)
本题解析:本题是无机框图题,关键是找准突破点。单质E和单质F在点燃或加热的条件下生成淡黄色的固体,所以E、F是氧气和钠。B常温下为液态化合物,所以B是水,因此F是钠,E是氧气,D是氢气,G是氢氧化钠。A在高温下也能和水蒸气反应生成氢气,所以A是铁,C是四氧化三铁。根据反应④的条件可知,H是铝,J是氧化铝。氧化铝电解生成氧气和铝,铝和氢氧化钠溶液反应生成氢气和偏铝酸钠,则I是偏铝酸钠。
(1)铁位于周期表的第四周期第Ⅷ族。
(2)高温下铁和水蒸气反应的方程式是3Fe+4H2O(g)
?Fe3O4+4H2;氧化铝是两性氧化物,和氢氧化钠溶液反应的方程式是Al2O3+2NaOH=2NaAlO2+H2O。
(3)铝热反应的操作是加少量KClO3,插上镁条并将其点燃。
(4)铝比铁活泼,且铝能与氢氧化钠溶液反应,所以铝是负极,反应式是Al2O3+2NaOH=2NaAlO2+H2O。
(5)四氧化三铁中还含有亚铁离子,因此可以被硝酸氧化,反应的方程式是3Fe3O4+NO3-+28H+=9Fe3++NO↑+14H2O 。
本题难度:一般
5、选择题 已知A、B、C是单质且C是绿色植物光合作用的产物之一,X、Y是化合物,他们之间的转化关系如下(反应条件略):下列A、B间的对应关系,不正确的是( )
A.A是碳,B是氢气
B.A是碳,B是硅
C.A是氢,B是铜
D.A是钠,B是氢气