微信搜索关注"91考试网"公众号,领30元,获取公务员、事业编、教师等考试资料40G!
类型案件相比,2010年遗嘱继承案件体现出什么样的特点?
A.只有遗嘱继承案件的总结案数多于收案数
B.只有遗嘱继承案件的收案数比上年有所上升
C.只有遗嘱继承案件的调解案件数不足总结案数的40%
D.只有遗嘱继承案件的已判决案件数超过总结案数的1/3
【知识点】比重大小比较
【答案】 D
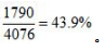
【解析】 A选项错,除了遗嘱继承案件多于收案数,抚育费纠纷案件同样也满足此条件。B选项错,除了遗嘱继承案件的收案数有所上升以外,只要增长率大于零,说明均是有所上升。C选项错,遗嘱继承案件的调解案件数占总结案数为
。答案为D选项。
材料(三)
免费午餐基金自2011年4月正式启动,截止2012年底,总收入为4377.4万元,总支出为1459.1万元,结余2918.3万元
121.2012年度免费午餐基金接受的在线捐款的在线捐款比上年约增长了:
A.28.9%
B.35.5%
C.38.8%
D.53.3%
【知识点】增长率计算
【答案】 C
【解析】增长率=(现期量-基期量)÷基期量=
,答案为C选项。
122.2012年度免费午餐基金接受的捐赠收入中,银行捐赠汇款所占比重约是:
A.55.1%
B.56.7%
C.58.9%
D.60.3%
【知识点】比重计算
【答案】 B
【解析】比重=
,答案为B选项。
123.2012年度筹资费用约是2011年度的多少倍?
A.5.6
B.4.2
C.2.9
D.1.7
【知识点】倍数计算
【答案】 A
【解析】由表2可知,筹资费用2012、2011年分别为48、8.5,因此倍数=
,答案为A选项。
124.2011~2012年,捐赠支出占免费午餐基金支出的比重约是:
A.84.9%
B.86.1%
C.89.6%
D.90.5%
【知识点】比重计算
【答案】 B
【解析】 2011年捐赠支出占免费午餐基金支出的比重为89.68%,2012年捐赠支出占免费午餐基金支出的比重为84.97%,应该介于两者之间,结合选项,选择B答案。
125.以下说法正确的是:
A.在线捐款收入是免费午餐基金接受捐赠的主要方式
B.物质捐赠支出是免费午餐基金捐赠支出的主要方式
C.自启动以来免费午餐在2011年的月均捐赠收入不到200万元
D.2012年度免费午餐基金的支出总额是2011年度的3倍以上
【知识点】综合分析
【答案】 D
【解析】 A、B从表中很显然是错误的,C选项,
大于200万元,所以排除,答案为D选项。
材料(四)
2010年,我国医院总数为20918家,较上年增长627家,医院接待诊疗20.40亿人次,比上年增长1.18亿人次,综合医院接待诊疗人次占全部医院接待诊疗人次的74.1%,是位居第二的中医医院诊疗人次的4.6倍。
126.2007~2010年间,中医医院占医院总数比重同比下降最快的一年是:
A.2007年
B.2008年
C.2009年
D.2010年
【知识点】增长率大小比较
【答案】 C
【解析】由表格数据给出中医院占医院总数在2006年~2010年的比重,比较其增长率谁下降更快,可以比较现期量除以基期量的大小。观察现期量和基期量差不多,可以看哪一年下降多,谁的增长率下降快,故2009年下降最快,答案为C选项。
127.与2009年相比,2010年我国约增加了多少家其他类医院?
A.15
B.54
C.128
D.627
【知识点】增长量计算
【答案】 A
【解析】可列式20918×2.4%-20291×2.4%选项差距较大估(20900-20300)×2.5%=600÷40=15 ,选择A答案。
128.2010年,我国政府的专科医院有多少家?
A.1100
B.1400
C.1700
D.2000
【知识点】比重计算
【答案】 B
【解析】 20918×18.9%×35.6%选项差距较大估算20000×20%×36%=1440与B接近,选择B答案。
129. 2010年,平均每家综合医院的接待诊疗者人次数约是中医医院的多少倍?
A.0.94
B.1.05
C.1.16
D.1.27
【知识点】倍数计算
【答案】 A
【解析】由题意,(综合医院的接待诊疗者人次÷20918×65.4%)÷(中医院接待诊疗者人次÷20918×13.3%)由题目给出两者的诊疗人次的倍数为4.6,整理得4.6×(13,3%÷65.4%)约为4.6×0.2=0.92,选择A答案。
130.能够从上述资料中推出的是:
A.2006-2010年间,医院总数持续增加
B.2009年全国医院共接待诊疗者21.58亿人次
C.2010年的政府办医院中,一半以上是中医医院
D.与2006年相比,2010年专科医院数增速高于综合医院
【知识点】综合分析
【答案】 D
【解析】 A选项由表格发现2008年医院总数下降,故A错误;B选项2009年接待诊疗者为人次为20.40-1.18=19.22,故B错误;C选项计算较复杂(20918×13.3%×81.2%)÷20918×46%计算小于0.5,故C错误;D选项增长率的比较可以比较(20918×18.9%)÷19246×15.7%与(20918×65.4%)÷19246×68.2%,显然前者大于后。