微信搜索关注"91考试网"公众号,领30元,获取公务员、事业编、教师等考试资料40G!
选项错误。根据主送机关和正文内容可以看出这篇公文的发文机关应是XX市卫生和计划生育委员会,所以A正确。综上,本题答案为A。
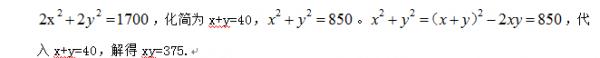
51.【解析】B。
“跻身于世界先进水平之列”为常用固定搭配,排除A、D。“一花独放、单峰耸峙”与“低迷”意思相对,是从反面来衬托出国内科幻小说界的不景气,应选择“反衬”。因此选B。
52.【解析】C。“明艳”与“娇艳”语义有重复,“明朗”不能用来形容季节,排除A、D。由“但如果人人只顾自己的‘一亩三分地’”可知,前面的句子应是在肯定“每个人都会有自己的打算”存在的普遍性及合理性,选“不可否认”更贴合文意。
53.【解析】D。D。最后一空,瞠目结舌形容形容人惊呆的样子;荒诞不经形容言论荒谬,不合情理,排除B、C。第二空,荒诞不经为贬义,根据文意第二空与前文重要古籍色彩相反,因此选D。
54.【解析】C。C。由“才”“才能”可知,“洞明文字生成中所蕴自然山川之地脉……深谙文字指文化含量”是“有底气”“生发出意象、意念、意蕴、意境”的必要条件,需填入“只有”,“唯”表“只有”,故答案选C。
55.【解析】D。D。最后一空,何尝用在否定形式前表示肯定,引导反问句。
56.【解析】D。这三段文字,第一段文字带有明确的感情倾向不够客观实际,而用于宣传海报文字过多,最合适的则为报刊评论;第二段文字用数据以及年份做客观说明故来源最可能是政府报告;第三段文字从形式看多用于宣传标语
57.【解析】B。B。A项狭路相逢多用于仇人见面,不符合语境故A错;C项并列结构出现,“加强”不可与“信息发布相搭配”;D项“是”字出现,主宾搭配不当,故选择B。
58.【解析】D。D。ABC暗中偷换主语,D符合事理逻辑,故答案选择D。
59.【解析】C。C。考察要点语气轻重,在语气表达中,疑问语气最轻,表述为不确定,故选择C。
对于⑦句更适合做首句,锁定答案C,验证符合事理逻辑故答案选择C。
60.【解析】C。C.语句排序题。③⑥句为反面论证,不适合做首句予以排除,根据话题的发展顺序⑤句相
61.【解析】A。A。A项主题是立法要以民为本。BCD主题是公正
62.【解析】A。A。语句填空题,考察前后话题的衔接性,阅读文段不难发现,横线部分起到承前启后的作用,而后面部分是对前面部分的举例论证,符合这点的是答案A。
63.【解析】D。此题为判断作者意图的题目。首先仍需把握作者的主要信息。文段的主要信息是通过三个问句引出的结论性思考——文段最后一句。当我们关注的问题趋同时,我们忽略了另外一部分重要的存在,也就是我们所获得信息过于单一。由此可知,D项是最为准确的理解
64.【解析】B。本题为主旨概括题。主旨句为文段的最后一句,既总结了孔子关于修身的三点要求,也明确了在当下的领导干部也需认真学习体会的重要性,因此与其意思最为接近的表述应该是B项
65.【解析】D。D。第一个破折号后最大与之前大相比程度更深,为递进关系,因此选D项
66.【解析】B。B项正确,C项错在传统技能,文中只是说技能,没说传统技能。
67.【解析】A。A。第一空,与“思想的贫乏”相对,“深刻的道理”填入最恰当;第二空,与“真传一句话”相对,“简明的语言”填入最恰当;第三空填入“简单生动……”,契合句意。因此本题选A。
68.【解析】D。细节题,文段第三段和第四段部分分别可以找到ABC三个点,而D项在文段第六段有找到,说的是玉,与提问不符,故选择D。
69.【解析】D。细节题。A、B两项无中生有,文段未提及;C项偷换概念,文段表述为“农耕文明对玉的审美的延伸”选项表述为“中国人对玉的审美的延伸”错误,故选择D。
70.【解析】A。A项全面概括原文,BC项均为文段片面内容不能作为文段主旨,D项主体与文段不一致,予以排除。
71.【解析】C。C。ABD在文段第九段均可以找到,C项阐述的是集体主义的方式与提问相对,故选择C。
72.【解析】B。B。个人主义的特性是从背景中脱离出来观察,根据文中例子个人主义不存在合作故答案选择B。
73.【解析】B。B。文段引用心理学的内容是为了给观点提供论据,而文段引用的是《心理学》的内容故属于理论的而非事实的,故选择B
74.【解析】A。A。由“一如”可知,人类心灵与“稻米和小麦”的之间存在类比关系,并非比喻。A项理解错误,当选。
75.【解析】C。C。文段重点段落脚于最后一段,围绕的是文化与自然来进行的重点阐述,故选择C。
76.【解析】B。因为是同一时间完成工作,所以设甲从开始到结束工作X分钟,那么乙工作了(X-15)分钟,丙工作了(X-45)分钟,依题意得,30X+40(X-15)+60(X-45)=6060,解得X=72,那么乙用57分钟。
77.【解析】A。栓羊的绳子长10米,那么它的活动半径也就是10米,所以羊可以触及的地方一个3/4大圆和两个小的1/4小圆,
78.【解析】C。设围巾为A条,手套为B双,根据题目要求得到:
60A+70B≤500,A=3:B=2,3,4,都可以。A=4:B=2,3,4。 A=5,B=2。
共7种情况。
79.【解析】B。根据顺流、逆流的公式,可以得到
,选B。
80.【解析】D。前两个钟,每小时差6-2=4分钟,只要差60分钟,就可以重合,因此需要60÷4=15(小时),总结:前两个钟每过15小时分针指在相同的位置。
同理,后两个钟,每小时差12-6=6分钟,只要差60分钟,就可以重合,因此需要60÷6=10(小时),总结后两个钟每过10小时分针指在相同的位置。15和10的最小公倍数为30,因此,3个钟需要30小时分针又会指在相同的分钟位置。
81.【解析】C。由题中“ABCDEDCBABCDEDCBA”可以得知以“ABCDEDCB”的循环排列的,因此每个循环是8个字母,313/8=39……1,因此是过了39个循环再往后数一个字母,即为第40个循环的第一个字母“A”,A代表中国。因此本题选C。
82.【解析】C。本题是排列组合题。可采用枚举法,含1月的有:(1月,5月)、(1月,6月)、(1月,7月)、(1月,8月)、(1月,9月)、(1月,10月)共6种;含2月的有:(2月,6月)、(2月,7月)(2月,8月)(2月,9月)(2月,10月)共5种;含3月的有:(3月,7月)(3月,8月)(3月,9月)(3月,10月)共4种;含4月的有:(4月,8月)(4月,9月)(4月,10月)共3种;含5月的有:(5月,9月)(5月,10月)共2种;含6月的有:(6月,10月)共1种;共有6+5+4+3+2+1=21种可能,由于两部电影在不同的月份上映,需要将两部电影排序,因此需将21×
=42种情况。
83.【解析】A。设艺术品A的原始售价为a,

84.【解析】B。非闰年共有365天,中间日期应是365的中位数,即183天中午12点。已知1、3、5月每月31天,2月29天,4、6月每月30天,共181天,则第183天是7月2日。所求为7+2+12=21,选择B项。
85.【解析】A。
设小正方形边长x,大正方形边长y,那么阴影部分的面积就是xy。由题意得4x+4x+4y+4y=320,

86.【解析】D。考查机械能。根据题意,不考虑任何摩擦力,意味着摩擦力不做功。本题只有重力和弹力做功,所以机械能守恒,小球的重力势能转化成小球的动能和木块的动能。木块对小铁球的弹力不做负功,A错;整体机械能守恒,小球对木块做功,所以木块的机械能不守恒,B错;小铁球的机械能的减少量小于木块动能的增大量,C错。因此,本题答案为D选项。
87.【解析】D。声音传播需要介质,声音不能在真空中传播,所以抽成真空后隔音效果加强,而不是下降。因此,本题答案为D选项。
88.【解析】B。本题考查光学原理透镜的应用。近视眼成像原理看不清物体成像在视网膜前面。近视眼需要配带凹透镜矫正远视眼需要配带凸透镜矫正。因此,本题答案为B选项。
89.【解析】A。本题考查圆周运动。根据受力分析,、圆锥摆模型的受力特点——只受两个力:竖直向下的重力(mg)和沿摆线方向的拉力(F),二力的合力就是摆球做圆周运动的向心力(Fn),如图所示。

竖直方向上合力为0,FCOSθ=mg,推出F=mg/cosθ,所以甲受到绳子的拉力大于乙受到绳子的拉力,D正确。
C:向心力为F在水平方向的分力,Fn=FSINθ=mgtanθ,甲的角度θ比乙的大,而tanθ在0-90度为增函数,因此向心力甲的大,而根据牛顿第二定律,Fn=mgtanθ=ma,质量相同,因此甲的加速度比乙大。C正确。
B:Fn=mV2/R, 推出V2=FnR/m, 所以甲的线速度也大。
A:WR=V,(W为角速度),W=V/R,根据之前推导的公式,得到甲乙的角速度相等。所以选A。
90.【解析】B。物体内的有机物在细胞内经过一系列的氧化分解最终生成二氧化碳、水或其他产物并且释放出能量的总过程叫做呼吸作用。呼吸作用是生物体在细胞内将有机物氧化分解并产生能量的化学过程是所有的动物和植物都具有一项生命活动。所以发现里面温度比较高,是呼吸作用的原因。因此,本题答案为B选项。
91.【解析】D。考查电学原理。原理:在电路中,电流由电势高的正极流向电势低的负极.这之中每流经电阻R,沿电流的方向电势降低,降低的数值等于IR.端电压=总电动势-内阻分压。
A:减小R2的阻值,b点的电势升高,错误。因为减小R2的阻值,总阻值变小(R1+R2),根据欧姆定律,电流变大,因此a端通过R1后,IR1变大,电势降得就多了,所以b点的电势降低。
B:当煤气的浓度升高时,根据题意(R1是对煤气敏感的半导体元件,其电阻随煤气浓度的增加而减小),说明,R1电阻变小,总电阻变小,电流变大,IR1无法判断变大还是变小,但IR2变大,总电压恒定,故IR1变小,则b点电势升高。因此B错误。
C:明显错误,应该适增加ab间的电压,可以提高报警器的灵敏度。选D。
92.【解析】C。考查受力分析和做功。
A:运动员在离开蹦床上升过程中,蹦床对运动员一定不做功,正确。因为离开了,没有力。
B:运动员在最高时,速度为零。正确. D、正确,高度越来越小,重力势能减少。
C:在最高点,合力不是零,有重力作用。所以错误,选C。
93.【解析】D。考查摩擦力。题干为一个定滑轮和一个动滑轮组成的滑轮组,同一滑轮两侧绳的拉力相等,则三根绳的拉力都是60N,将人与船看做一个整体,则所受拉力为60N×3=180N,船匀速运动,则所受阻力也为180N。故答案选D。
94.【解析】D。考查光的折射。由于路面上暖空气与高空中冷空气之间的密度不同,所以光线在路面上会发生折射现象;远处物体的光射向路面上的空气时,发生折射后,进入人的眼睛,人眼逆着折射光线看去,看到的是物体形成的虚像。所以看到“公路远处似乎有水,水中还有汽车、电杆等物体的倒影,但当车行驶至该处时,水却消失了”。故选D。
95.【解析】A。考查磁场方向。地理南极相当于条形磁铁的N极,地理北极相当于条形磁场的S极,且磁场方向由N极指向S极。所以上海上空的磁场方向是

因此,本题答案为A选项。
96.【解析】C。健康传播的关键在于:“健康知识”、“大众”,C项研讨会属于不能确定健康知识,而且达不到健康传播的目的。因此,本题答案为C选项。
97.【解析】A。顺应的关键在于“环境改变”“生理适应”,A项符合生理适应,B项是一种行为,不是适应过程;C、D项无生理变化。因此,本题答案为A选项。
98.【解析】C。社区行动时社区居民的共同行动。A项志愿者不确定属于社区;B项老王属于个人行为;D项“有车居民”不确定,同时不符合题干中的“促进社区发展和进步”。因此,本题答案为C选项。
99.【解析】A。新闻发布会不属于媒体形式,且政府召开发布会是发布信息的法定形式。因此本题答案为A选项。
100.【解析】C。多定义判断中的辨析,能指是符号的物质形式,