设为首页    加入收藏

公务员考试省级导航

国家 A安徽 B北京 C重庆 F福建 G广东 广西 甘肃 贵州 H河南 河北 湖南 湖北 黑龙江 海南 J江苏 江西 吉林 L辽宁 N内蒙古 宁夏 Q青海 S山东 山西 陕西 四川 上海 T天津
     X新疆 西藏 Y云南 Z浙江 更详细省市县级导航 公务员考试1000套word版真题打包下载 公务员考试行测电子教材

行测考试大纲必考点、题库高频试题汇总-压中真题已成为一种习惯

系列重要讲话 “十四五”规划 2017年政府工作报告 2017年中央一号文件 十八大报告 中国特色社会主义理论 马克思主义哲学 马克思主义政治经济学 毛泽东思想 宪法 刑法 民法 行政法 诉讼法 合同法 婚姻法 继承法 物权法 人文常识 科技常识 常识判断 定义判断 类比推理 历史常识 逻辑判断 片段阅读 数学运算 图形推理 病句判断 选词填空 主旨概括 资料分析 时事政治

2017年宁夏公务员考试行测真题卷及参考答案(十)
2017-05-02 13:46:51 来源:91考试网 作者:www.91exam.org 【
微信搜索关注"91考试网"公众号,领30元,获取公务员、事业编、教师等考试资料40G!
4.4%×26%≈-44%
。东北地区2014年民间固定资产投资=现期/(1+R)=21608/(1-44%)≈38586亿元。因此,本题选D

97.正确答案是 A

解析

根据文段数据可知,2016年民间固定资产投资占全国固定资产投资的比重为61.2%,比上年降低3个百分点,故2015年为61.2%+3%=64.2%,。因此,本题选A

98.正确答案是 D

解析

根据表格数据可知,绝对量最大的行业是公共设施管理业13441亿元,最小的是铁路运输业212亿元,分别计算其增长量,公共设施管理增长量=13441x5.8%/(1+5.8%)≈737亿元,铁路运输为212x[-29.7%/(1-29.7%)]≈-90亿元,增长额之差约为=737--90=827亿元。因此,本题选D

99.正确答案是 B

解析

根据表格数据可知,投资较去年变幅最大的是黑色金属矿采选业-35.4%。因此,本题选B

100.正确答案是 C

解析

A选项,第三产业只知道年增长2%,增速与1-11月持平,无法推出2016年度月均增速最为平稳,A选项错误。

B选项,工业民间固定资产投资为180970亿元,第二产业民间固定资产投资=365219-15039-167673=182507亿元,工业民间固定资产投资占第二产业民间固定资产投资的比重=180970/182507=99.16% B选项错误。

C选项,东部地区民间固定资产投资164674亿元,是四个地区中最高的,是民间固定资产投资的主力,因此,本题选 C

D选项,东部地区民间固定资产投资最高为164674亿元,东北地区最低为21608亿元,地区间投资水平差异明显,D选项错误。

101.正确答案是 A

解析

本题考察的是增长率的比较,直接读数或者利用增长率公式进行简单比较即可。A选项每日食品消费额8.8/(45.9-8.8)=23.7%,月度存款额15.3%,年度书本支出8.4%,年度雾霾支出8.7%。所以增幅最大的是A。选择A

102.正确答案是 A

解析

注意本题要求选择的是说法错误的选项。A选项,2016年贷款年龄在26-45岁的人群总占比为49.1%+21.3%=70.4%,办理信用卡且月收入在4000元以上的人群占比超过76%,二者并无交叉分析,无法得出二者重合率达到92.63%,所以A错误。

B选项,年轻人每月平均记账次数约为41笔,41/31>1,所以平均来算他们天天都记账,所以B正确。

C选项,2016年全年人均食品支出为45.9×366=16799.4KTV、旅游交通、书本、雾霾总额为814.6+4985+168+998.7=6966.3,全年人均食品支出是KTV、旅游交通、书本、雾霾总额的16799.4÷6966.3=2.41倍,所以高出约1.4倍,所以C正确。

D选项,已知2016年年轻人的人均月存款为2340,比2015年增加15.3%2015年较2014年增加32.7%,可以求得2016年比2014年增长率为R=15.3%+32.7%+15.3%32.7%=53%,所以2014年全年人均新增存款为:http://tiku.huatu.com/cdn/images/vhuatu/tiku/4/4470c1bf16ba3740226d760c0f2a71d8.png,所以D正确。选择A

103.正确答案是 A

解析

注意本题要求选择的是不能从所给资料中得出的选项。A选项,关于办理信用卡的数据仅出现过月收入4000元以上的办理信用卡比例超过76%”201618-35岁人员办理信用卡比例无法求出,所以A不能推出。

B选项,根据“KTV的年人均消费由2014年的699.9元增加到2016年的814.6可以求出2014-2016年年轻人人均KTV消费年均增长率,所以B可以得出。

C选项,根据每日人均食品消费45.9元,比去年增加8.8可知2015年每日人均食品消费为37.1元,所以2015年年轻人人均食品消费支出为37.1x365,所以C可以得出。

D选项,根据“2016年年轻人的人均月存款为2340元,较2015年同比增加15.3%,而2015年较2014年增加32.7%”可以求出2014年人均月存款,进而可以求出2014年全年人均存款额度,所以D可以得出。选择A

104.正确答案是 C

解析

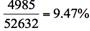
2016年,全国年轻人的人均旅游交通支出为4985,个人全年支出的数据并未直接给出,需要通过人均月收入-人均月存款得出,所以个人全年支出为(6726-2340x12=52632。所以比重计算为http://tiku.huatu.com/cdn/images/vhuatu/tiku/f/fccb5563fac2c788be128796bce6d2cf.png。选择C

105.正确答案是 B

解析

2016年,上海年轻人日均记账次数为1.672笔,所以全年为1.672x366=612笔,全国年轻人每月平均记账次数约为41笔,所以全年为41x42=492笔,所以答案为612-492=120笔。选择B

106.正确答案是 C

解析

女性养宠物者占58.1%,则男性养宠物者占比为1-58.1%=41.9%。选择C

107.正确答案是 D

解析

对宠物花费的人中,100元以内的占比为8.9%101-500元的为49.4%501-1000元的为25%1000元以上的为16.4%,所以没有花费的占比为100%-8.9%-49.4%-25%-16.4%=0.3%106800.3%=32.04。选择D

108.正确答案是 D

解析

选择综合电商平台的被访者占比为74%,对购物类O2O服务有选择意向的不足4.0%74:4=18.5:1,因为对购物类O2O服务有选择意向的不足4.0%,所以比值应该大于18.51。选择D

109.正确答案是 D

解析

因为购买药品、保健品、日用品、玩具、服饰五项的人数均接近60%,而题干中问的是在这五项花销的总人次为多少,所以计算方法为:5×60%×10680=32040。选择D

110.正确答案是 A

解析

  A选项,由“99%的宠物处于自主训练或放任生长的状态无法得出只有1%的宠物接受过训练,所以A的判断错误。B选项,由将宠物定义为孩子’‘亲人’‘朋友’‘和宠物的分别为54.5%33.4%7.7%3.2%”可以得出有95.6%的宠物主人对宠物的定义超越了宠物本身,所以B正确。C选项,月均消费在101-1000元的占比为49.4%+25%=74.4%,所以C正确。D选项,根据材料目前宠物主人对购物类O2O服务有选择意向的不足4.0%”可知购物类O2O服务的市场还有待培育,所以D正确。选择A

111.正确答案是 C

解析

冰雪旅游综合得分最高的城市为哈尔滨,其四项指标得分几乎均为最高的,因此,本题选C

112.正确答案是 A

解析

延庆=87.5-77.5=10,哈尔滨=97.3-91.5=5.8,伊春=89.1-80.2=8.9,长春=93.7-89.9=3.8,游客期待指数和美誉度相差最大的是延庆,因此,本题选A

113.正确答案是 B

解析

【解析】各营销事件美誉度平均得分=http://tiku.huatu.com/cdn/images/vhuatu/tiku/7/78eed3679e960ad227ecac5e4aac399e.png=88.6,因此,本题选B

114.正确答案是 B

解析

 观察整张表格,哈尔滨国际冰雪节必然位于前三,可排除C选项,内蒙古冰雪那达慕三项数值都未上90,可排除D选项,观察AB选项,本题重点在于比较黑龙江大型冰雪旅游直播show和黑龙江全民冰雪活动日,http://tiku.huatu.com/cdn/images/vhuatu/tiku/2/2d52dc4148b73e25a529122adf7341d3.jpg黑龙江全民冰雪活动日更高,因此,本题选B

115.正确答案是 D

解析

A选项,游客期待指数与传播影响力并非均为正相关,如张家口,A选项错误。

B选项,美誉度最高的4个城市并非核心竞争力也位列前四,如呼伦贝尔,B选项错误。

C选项,得分最高的为黑龙江国际冰雪节90.2,排名第四的为黑龙江大型冰雪旅游直播show88,约高2.5%C选项错误

 

 

Tags:
】【打印繁体】 【关闭】 【返回顶部
下一篇2017年内蒙古公务员考试行测真题..

网站客服QQ: 960335752 - 14613519 - 791315772