微信搜索关注"91考试网"公众号,领30元,获取公务员、事业编、教师等考试资料40G!
1、计算题 如图所示,abc是光滑的轨道,其中ab是水平的,bc为与ab相切的位于竖直平面内的半圆,半径R=0.30m。质量m=0.20kg的小球A静止在轨道上,另一质量M=0.60kg、速度V0=5.5m/s的小球B与小球A正碰。已知相碰后小球A经过半圆的最高点c落到轨道上距b点为,
处,重力加速度
,求:

(1)碰撞结束后,小球A和B的速度的大小。
(2)试论证小球B是否能沿着半圆轨道到达c点。
参考答案:(1)6m/s? 3.5m/s (2)不能
本题解析:(1)以v1表示小球A碰后的速度,以v2表示小球B碰后的速度,v1/表示小球A在圆周最高点的速度,则小球脱离轨道后做平抛运动,
,
,对小球
,碰撞过程满足
,联立解得:
,
(2)假设B球能到达C点,则满足
,在水平面上的速度满足
,解得
,由于v2=3.5m/s<vb=3.9m/s,所以B不能到达半圆轨道的最高点。
本题难度:一般
2、选择题 如图所示,竖直轻弹簧下端固定在水平地面上,一定质量的小球从轻弹簧正上方某一高度处自由落下,并将弹簧压缩,直到小球的速度减为零。对于小球和轻弹簧的系统,在小球开始与弹簧接触到小球速度变为零的过程中,有?

A.小球的动能与重力势能之和越来越小,小球的重力势能与弹性势能之和先减小后增大
B.小球的动能与重力势能之和越来越小,小球的重力势能与弹性势能之和先增大后减小
C.小球的动能与重力势能之和越来越大,小球的动能与弹性势能之和越来越大
D.小球的动能与重力势能之和越来越大,小球的动能与弹性势能之和越来越小
参考答案:A
本题解析:因为整个过程中忽略阻力,只有重力和弹力做功,满足系统机械能守恒,但对单个物体小球机械能不守恒,根据能量守恒得小球的机械能减小量等于弹簧弹性势能的增加量,小球接触弹簧至弹簧压缩最低点的过程中弹簧的形变量越来越大,弹性势能也越来越大,所以小球的动能和重力势能的总和越来越小,CD错误
根据能量守恒得小球的重力势能和弹性势能的总和变化量等于小球的动能变化量.小球在运动过程中速度先增大后减小,故小球的重力势能与弹性势能之和先减小后增大.A正确,B错误
故选A.
点评:掌握机械能守恒的条件,是解决问题的关键,注意区分系统的机械能守恒和单个物体机械能守恒的区别.
本题难度:一般
3、选择题 物体在离地面h高处由静止开始自由下落,设地面为重力势能零势能参考面,不计空气阻力,则当物体的动能与重力势能相等时物体的速度大小为:
A.
B.
C.
D.
参考答案:B
本题解析:据题意,小球下落后动能与重力势能相等时,设小球此时的动能为Ek=mv2/2,此时小球的重力势能为Ep=mgH,则此时小球的机械能为E=Ek+Ep= mv2/2+ mgH="2" mv2/2= mv2;而小球在最高点是的机械能为E=mgh,由于不计空气阻力,整个过程机械能守恒,则有mv2=mgh,则v=
,选项B正确。
本题难度:一般
4、计算题 如图所示,固定在地面上的光滑圆弧面与车C的上表面平滑相接,在圆弧面上有一个滑块A,其质量为mA=2kg,在距车的水平面高h=1.25m处由静止下滑,车C的质量为mC=6kg,在车C的左端有一个质量mB=2kg的滑块B,滑块A与B均可看作质点,滑块A与B碰撞后粘合一起共同运动,最终没有从车C上滑出,已知滑块A和B与车C的动摩擦因数均为
,车C与水平地面的摩擦忽略不计。取g= 10m/s2。求:
(1)滑块A滑到圆弧面末端时的速度大小;
(2)滑块A与B碰撞后瞬间的共同速度的大小;
(3)车C的最短长度。

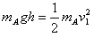
参考答案:解:(1)设滑块A滑到圆弧未端时的速度大小为v1,由机械能守恒定律有
①
代入数据解得
②
(2)设A、B碰后瞬间的共同速度为v2,滑块A与B碰撞瞬间与车C无关,滑块A与B组成的系统动量守恒
?③
代入数据解得
④
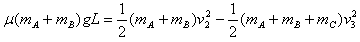
(3)设车C的最短长度为L,滑块A与B最终没有从车C上滑出,三者最终速度相同设为v3
根据动量守恒定律有
⑤
根据能量守恒定律有
⑥
联立⑤⑥式代入数据解得
m⑦
本题解析:
本题难度:困难
5、选择题 一小球以初速度v?0竖直上抛,它能到达的最大高度为H,问下列几种情况中,哪种情况小球不可能达到高度H(忽略空气阻力):?

A.图a,以初速v0沿光滑斜面向上运动
B.图b,以初速v0沿光滑的抛物线轨道,从最低点向上运动
C.图c(H>R>H/2),以初速v0沿半径为R的光滑圆轨道从最低点向上运动
D.图d(R>H),以初速v0沿半径为R的光滑圆轨道从最低点向上运动
参考答案:C
本题解析:根据机械能守恒定律,如果物体到达最高点时速度能为零,则物体一定能到达高H的地方。在上述四个图中a、b、d物体上升到最高点时的速度均可以为零,只有c因为超过了与圆心等高的位置后离开轨道做斜上抛运动,所以在最高点还有水平速度,所以不能达到高H的地方。
本题难度:一般