1、选择题 打开水龙头,水顺流而下,仔细观察将会发现连续的水流柱的直径在流下的过程中,是逐渐减小的(即上粗下细),设水龙头出口处半径为1cm,安装在离接水盆75cm高处,如果测得水在出口处的速度大小为1m/s,g=10m/s2,则水流柱落到盆中的直径( )
A.1cm
B.0.75cm
C.0.5cm
D.0.25cm
参考答案:设水在水龙头出口处速度大小为v1,水流到接水盆时的速度v2,则由v22-v21=2gh得
? v2=4m/s
设极短时间为△t,在水龙头出口处流出的水的体积为V1=v1△t?πr21? ①
水流进接水盆的体积为V2=v2△t?πd224? ②
由V1=V2得v1△t?πr21=v2△t?πd224?
代入解得? d2=1cm
故选A
本题解析:
本题难度:简单
2、选择题 物体由屋顶自由下落,经过最后2m所用的时间为0.15S,则屋顶的高度为( )
A.10m
B.12m
C.14m
D.15m
参考答案:由题意可知:
对于下降的全过程有 H=12gT2
最后2m之前的高度 h=H-△h=12g(T-△t)2
代入数据,解之T=169120s
则屋顶的高度为为 H=12gT2≈10m
故选A.
本题解析:
本题难度:简单
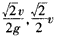
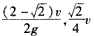
3、选择题 一小石子自楼顶处自由落下(不计空气阻力),落到地面时的速度为v,则小石子从楼顶落到楼高一半处所用的时间和瞬时速度分别为
[? ]
A.
B.
C.
D.
参考答案:B
本题解析:
本题难度:一般
4、选择题 科技馆中的一个展品如图所示,在较暗处有一个不断均匀滴水的水龙头,在一种特殊的灯光照射下,可观察到一个下落的水滴,缓缓调节水滴下落的时间间隔到适当情况,可以看到一种奇特的现象,水滴似乎不再下落,而是像固定在图中的A、B、C、D四个位置不动,一般要出现这种现象,照明光源应该满足(g=10m/s2)

[? ]
A.普通光源即可
B.间歇发光,间隔时间1.4s
C.间歇发光,间隔时间0.14s
D.间歇发光,间隔时间0.2s
参考答案:BC
本题解析:
本题难度:一般
5、选择题 下列说法符合史实的是(?)
A.牛顿发现了行星的运动规律
B.开普勒发现了万有引力定律
C.卡文迪许第一次在实验室里测出了万有引力常量
D.牛顿发现了海王星和冥王星
参考答案:C
本题解析:开普勒发现了行星运动规律,A错误;牛顿发现了万有引力定律,B错误;卡文迪许通过扭秤实验第一次测得了万有引力常量,C正确;海王星和冥王星是通过万有引力定律计算出来的,D错误;
本题难度:简单