1、选择题 嫦娥三号探测器于2013年12月2日2点17分,在西昌卫星发射中心发射.嫦娥三号携玉兔号月球车首次实现月球软着陆和月面巡视勘察,并开展月表形貌与地质构造调查等科学探测.探测器发射后直接进入地月转移轨道,最终被月球引力捕获,成为绕月卫星,并开展对月球的探测,运动轨迹如图所示.已知月球质量与地球质量之比为P,月球半径与地球半径之比为q,则( )
A.探测器在月球表面附近圆形轨道运行与在地球表面附近圆形轨道运行向心力之比为
倍 D.月球表面重加速度是地球表面重力加速度的

参考答案:A、探测器受到的万有引力F=GMmR2,由于万有引力提供向心力,故万有引力之比即为向心力之比,所以F月F地=M月M地(R地R月)2=Pq2,故A错误; B、根据万有引力提供向心力GMmR2=m4π2T2R,得T=2π
本题解析:
本题难度:简单
2、选择题 如图所示为卡文迪许测定万有引力常量的实验示意图,关于这个实验正确的说法有 [? ]
 A.此装置须放在密闭的室内进行 B.T型架由细绳悬挂着 C.T型架扭转θ角时,由平面镜M反射的光线也转动θ角 D.G值等于6.67×10-11牛·米2/千克2
参考答案:AD
本题解析:
本题难度:一般
3、简答题 据美联社2002年10月7日报道,天文学家在太阳系的外围,又发现了一颗比地球小得多的新行星,而且还测得它绕太阳公转的周期约为288年.若把它和地球绕太阳公转的轨道都看作圆,问它与太阳的距离约是地球与太阳之间距离的多少倍?(最后结果可用根式表示)
参考答案:44
本题解析:设太阳的质量为M,地球的质量为m0,绕太阳公转的周期为T0,与太阳的距离为R0,公转角速度为ω0;新行星的质量为m,绕太阳公转的周期为T,与太阳的距离为R,公转角速度为ω.根据万有引力定律和牛顿定律,得 =mω2R, =m0ω02R0,T= ,T0= 由以上各式得 ,已知T=288年,T0=1年,得 =44(或 ).
本题难度:简单
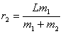
4、计算题 两个靠得很近的天体,离其它天体非常遥远,它们以其连线上某一点O为圆心各自做匀速圆周运动,两者的距离保持不变,科学家把这样的两个天体称为“双星”,如图所示。已知双星的质量为m1和m2,它们之间的距离为L。求双星运行轨道半径r1和r2,以及运行的周期T。

参考答案: , ,
本题解析:
本题难度:困难
5、填空题 若我们把地球绕太阳公转的周期与月球绕地球公转的周期之比设为p,地球绕太阳公转的半径与月球绕地球公转的半径之比设为q,由我们所学的物理知识可以得出太阳质量与地球质量之比M日/M地是 ______?。
参考答案:
本题解析:由万有引力定律及牛顿运动定律,对地球有 , ;同理得 ,由此可得质量比。
本题难度:简单
You cannot catch old birds with chaff. 用秕糠捉不到精明鸟。 |