1、选择题 如图所示,小球从高处下落到竖直放置的轻弹簧上,在将弹簧压缩到最短的整个过程中,不计空气阻力,下列关于能量的叙述中正确的是

[? ]
A.动能不断减少
B.弹性势能不断减少
C.动能和弹性势能之和总保持不变
D.重力势能、弹性势能和动能之和总保持不变
参考答案:D
本题解析:
本题难度:一般
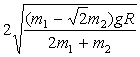
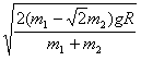
2、选择题 如图,一半圆形碗的边缘上装有一定滑轮,滑轮两边通过一不可伸长的轻质细线挂着两个小物体,质量分别为
、
,
>
。现让
从靠近定滑轮处由静止开始沿碗内壁下滑。设碗固定不动,其内壁光滑、半径为R。则
滑到碗最低点的速度为

[? ]
A.
B.
C.
D.
参考答案:A
本题解析:
本题难度:一般
3、填空题 如图所示,将一个小球以
的初动能从倾角为
的斜面顶端水平抛出,不计空气阻力。当它下落到斜面上时,小球的动能为
;在此过程中小球的重力势能减少了
。

参考答案:60?、48
本题解析:根据题意知:
,当落到斜面上时,
,此时竖直方向速度
,因此落到斜面上时的动能
;根据下落过程中,机械能守恒,增加的动能为
,因此减小的重力势能为
本题难度:一般
4、选择题 下列说法正确的是
[? ]
A、物体机械能守恒时,一定只受重力和弹力的作用
B、物体处于平衡状态时机械能一定守恒
C、在重力势能和动能的相互转化过程中,若物体除受重力外,还受到其他力作用时,物体的机械能也可能守恒
D、物体的动能和重力势能之和增大,必定有重力以外的其他力对物体做功
参考答案:CD
本题解析:
本题难度:简单
5、选择题 如图,一小球从光滑曲面由静止释放,离开轨道末端后做平抛运动,最后撞到离轨道末端水平距离为d的竖直墙壁上,要使小球撞到墙壁时的速度最小,小球由静止释放的高度h为

A.d
B.
C.
D.2d
参考答案:B
本题解析:小球在曲面下滑的过程中,机械能守恒,
,然后做平抛运动,运动时间
,撞到墙上时的速度
,联立得
根据不等式可知,当
,即
时,小球的速度最小。因此B正确,ACD错误。
本题难度:一般