1、计算题 如图所示的正方形平面oabc内,存在着垂直于该平面向外的匀强磁场,磁感应强度大小为B,已知正方形边长为L,一质量为m,带电量为+q的粒子(不计重力)在t=0时刻平行于oc边从o点射入磁场中。
(1)若带电粒子从a点射出磁场,求带电粒子在磁场中运动的时间以及初速度的大小;
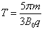
(2)若磁场的磁感应强度按如图所示的规律变化,规定磁场向外的方向为正方向,磁感应强度的大小为B0,则要使带电粒子能从oa边界射出磁场,磁感应强度B的变化周期T的最小值应为多少?
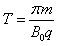
(3)若所加磁场与第(2)问中相同,则要使粒子从b点沿ab方向射出磁场,满足这一条件的磁感应强度的变化周期T及粒子射入磁场时的速度V0应为多少?(不考虑磁场变化产生的电场)

参考答案:解:(1)若带电粒子从a点射出磁场,则其做圆周运动的半径为r=L/2
所需时间为
设粒子初速度的大小为v0,
(2)若粒子从oa边射出,则其轨迹如图所示

有
,
在磁场变化的半个周期内,粒子在磁场中旋转150°,其运动的时间为
,
故磁场变化的最小周期为
(3)要使粒子从b点沿ab方向射出磁场,其轨迹如图所示

在磁场变化的半个周期中内,粒子在磁场中旋转的角度为2β,
,
所以磁场变化的周期为
r=
(n=2,4,6 …. ),
本题解析:
本题难度:困难
2、计算题 (18分)“太空粒子探测器”是由加速、偏转和收集三部分组成,其原理可简化如下:如图1所示,辐射状的加速电场区域边界为两个同心平行半圆弧面,圆心为O,外圆弧面AB的半径为L,电势为φ1,内圆弧面CD的半径为
,电势为φ2。足够长的收集板MN平行边界ACDB,O到MN板的距离OP=L。假设太空中漂浮着质量为m,电量为q的带正电粒子,它们能均匀地吸附到AB圆弧面上,并被加速电场从静止开始加速,不计粒子间的相互作用和其它星球对粒子引力的影响。

(1)求粒子到达O点时速度的大小;
(2)如图2所示,在边界ACDB和收集板MN之间加一个半圆形匀强磁场,圆心为O,半径为L,方向垂直纸面向内,则发现从AB圆弧面收集到的粒子经O点进入磁场后有2/3能打到MN板上(不考虑过边界ACDB的粒子再次返回),求所加磁感应强度的大小;
(3)同上问,从AB圆弧面收集到的粒子经O点进入磁场后均不能到达收集板MN,求磁感应强度所满足的条件。试写出定量反映收集板MN上的收集效率η与磁感应强度B的关系的相关式子。
参考答案:(1)
;(2)
;(3)
。
本题解析:(1)带电粒子在电场中加速时,由动能定理,
(2分)
又U=φ1
φ2 (2分)
所以:
(1分)
(2)从AB圆弧面收集到的粒子有2/3能打到MN板上,刚好不能打到MN上的粒子从磁场中出来后速度方向与MN平行,则入射的方向与AB之间的夹角是60°,在磁场中运动的轨迹如图1,轨迹圆心角θ=60°(2分)

根据几何关系,粒子圆周运动的半径为r="L" (2分)
由牛顿第二定律得:
(1分)
联立解得:
(1分)
(3)当沿OD方向的粒子刚好打到MN上,则由几何关系可知,
(2分)
由牛顿第二定律得:
(1分)
得:
(1分),即
(1分)
如图2,设粒子在磁场中运动圆弧对应的圆心角为α,由几何关系可知:

(1分)
MN上的收集效率:
(1分
考点:动能定理,牛顿第二定律,带电粒子在磁场中的运动。
本题难度:困难
3、计算题 如图,真空室内存在一有右边界的匀强磁场区域,磁感应强度B=0.332T,磁场方向垂直于纸面向里,右边界cd为荧光屏(粒子打上去会发光)。在磁场中距荧光屏d=8cm处有一点状α粒子放射源S,可沿纸面向各个方向均匀放射初速率相同的α粒子,已知:α粒子的质量m=6.64×10-27 kg,电荷量q?=?3.2×10-19 C,初速?度v?=?3.2×106m/s。(可能用到的三角函数:sin37°=?0.6,sin30°=?0.5)求:
(1)α粒子在磁场中作圆周运动的轨道半径R;?
(2)荧光屏cd被α粒子射中而发光的区域长度L;
(3)若从放射源打出的α粒子总个数为3.6×1010个,则最终能打到荧光屏上的α粒子个数为多少?

参考答案:(1)R=20cm=0.2m
(2)o点上方16cm,o点下方16
cm,发光长度为:y=16(1+
)cm
(3)2.54×1010个
本题解析:
本题难度:一般
4、简答题 如图所示,有一对平行金属板,两板相距为0.05m.电压为10V;两板之间有匀强磁场,磁感应强度大小为B0=0.1T,方向与金属板面平行并垂直于纸面向里.图中右边有一半径R为0.1m、圆心为O的圆形区域内也存在匀强磁场,磁感应强度大小为B=
T,方向垂直于纸面向里.一正离子沿平行于金属板面,从A点垂直于磁场的方向射入平行金属板之间,沿直线射出平行金属板之间的区域,并沿直径CD方向射入圆形磁场区域,最后从圆形区域边界上的F点射出.已知速度的偏向角θ=,不计离子重力.求:
(1)离子速度v的大小;
(2)离子的比荷;
(3)离子在圆形磁场区域中运动时间t.

参考答案:(1)离子在平行金属板之间做匀速直线运动,洛仑兹力与电场力相等,即:
B0qv=qE0,
E0=Ud
解得:v=2000m/s
(2)在圆形磁场区域,离子做匀速圆周运动,由洛仑兹力公式和牛顿第二定律有:
Bqv=mv2r
由几何关系有:tanθ2=Rr
离子的比荷为:qm=2×104C/kg
(3)弧CF对应圆心角为θ,离子在圆形磁场区域中运动时间t,
t=θ2π?T
T=2πmqB
解得:t=θB0RdUtanθ2=
本题解析:
本题难度:一般
5、选择题 阿尔法磁谱仪(Alpha Magnetic Spectrometer)是一个安装于国际空间站上的微观粒子物理试验探究的设备。图为某简化了的磁谱仪部分构件的示意图,图中永磁铁提供匀强磁场,硅微条径迹探测器可以探测粒子在其中运动的轨迹。假设有a、b、c三种微观粒子从宇宙中垂直磁场方向飞入图中的匀强磁场(只考虑磁场对粒子的作用力),三粒子的质量与电量分别为a(m、+q)、b(m、-q)、c(1800m、q)。则下列判断正确的有

A.a与b的偏转方向一定不同
B.a与b在磁场中运动轨迹的半径一定相同
C.仅依据粒子运动轨迹无法判断该粒子是b还是c
D.三粒子都不可能在该磁场中运动出完整的圆周轨迹