1、计算题 (15分)某日有雾的清晨,一艘质量为m=500t的轮船,从某码头由静止起航做直线运动,并保持发动机的输出功率等于额定功率不变,经t0=10min后,达到最大行驶速度vm=20m/s,雾也恰好散开,此时船长突然发现航线正前方s0=480m处,有一只拖网渔船以v=5m/s的速度沿垂直航线方向匀速运动,且此时渔船船头恰好位于轮船的航线上,轮船船长立即下令采取制动措施,附加了制动力F=1.0×105N,结果渔船的拖网刚好越过轮船的航线时,轮船也刚好从该点通过,从而避免了事故的发生,已知渔船连拖网共长L=200m。求:

(1)轮船减速时的加速度a多大?
(2)轮船的额定功率p多大?
(3)发现渔船时,轮船已离开码头多远?
参考答案:(1)
?(2)
?(3) 
本题解析:(1)减速运动的时间:
?①?(2分)
由运动学公式有?
?②?(2分)
由①②式解得加速度
?③?(2分)
(2) 轮船做减速运动时:
?④?(2分)
由③④式解得
?⑤?(1分)
所以
?⑥?(2分)
(3) 由动能定理得?
?⑦?(2分)
由⑤⑥⑦式解得
?⑧?(2分)
本题难度:简单
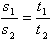
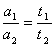
2、选择题 物体先做初速度为零的匀加速运动,加速度为a1,当速度达到v时,改为以a2作匀减速运动直至速度为零,在加速和减速过程中,物体的位移和所用时间分别为s1、t1和s2、t2。下列式子成立的是
[? ]
A.
B.
C.
D.
参考答案:ABD
本题解析:
本题难度:一般
3、简答题 质量m=1Kg的铁块放在水平桌面上,铁块与桌面间的动摩擦因数μ=0.2.施加在铁块上的水平拉力随时间变化规律如图所示.(g取10m/s2)
(1)铁块在4s内的位移为多大?
(2)画出铁块在10s内速度随时间的变化图线.图1图2图3.
参考答案:

(1)设铁块在0-2s内的位移为s1、加速度为a1、2s末的速度为v1,2-4s内的位移为s2、加速度为a2.
在0-2s内:F1-μmg=ma1…①
s1=12at12…②
v1=a1t1…③
在2-4s内:μmg=ma2…④
s2=v1t2-12a2t22…⑤
由①②③④⑤得:铁块在4s内的位移为s1+s2=20m…⑥
(2)如图所示.
答:(1)铁块在4s内的位移为为20m.
(2)如图所示.
本题解析:
本题难度:一般
4、选择题 已知做匀变速直线运动的物体的位移随时间的变化关系为x=-24t+1.5t2(m),根据这一关系式可知,物体速度为零的时刻是( )
A.1.5s
B.8s
C.16s
D.24s
参考答案:根据x=-24t+1.5t2=v0t+12at2,得v0=-24m/s,a=3m/s2.根据v=v0+at,则速度为0所经历的时间t=0-v0a=0-(-24)3s=8s.故B正确,A、C、D错误.
故B正确.
本题解析:
本题难度:一般
5、简答题 电车从车站匀加速起动时,有一自行车以υ=5m/s的速度匀速从电车旁超出,过10s后电车追上自行车.求:
(1)电车的加速度;
(2)电车追上自行车之前,电车与自行车相距最远时的距离.
参考答案:(1)在电车启动后10s,电车追上自行车,即在10s末电车和自行车通过的位移相等.
电车所通过的位移x=12at2
自行车所通过的位移x′=vt
由两车通过的位移相等,代入数据有12a102=5×10,求得a=1m/s2
(2)在电车追上自行车之前,两车的距离与时间的关系有:
△X=x’-x=vt-12at2代入数据得:△X=5t-12t2=-12(t-5)2+252
所以两车的最大距离为12.5m.
答:(1)电车的加速度为1m/s2;
(2)电车追上自行车之前,电车与自行车相距最远时的距离为12.5m.
本题解析:
本题难度:一般