1、选择题  下列几组数据中能算出地球质量的是(万有引力常量G是已知的)
[? ]
A、地球绕太阳运行的周期T和地球中心离太阳中心的距离r 
B、月球绕地球运行的周期T和地球的半径r 
C、月球绕地球运动的角速度和月球中心离地球中心的距离r 
D、月球绕地球运动的周期T和轨道半径r 
 
	参考答案:CD
	本题解析:
	本题难度:一般
	        2、选择题  一艘宇宙飞船绕一个不知名的行星表面飞行,要测定该行星的平均密度,仅仅需要
[? ]
A.测定飞船的运行周期 
B.测定飞船的环绕半径 
C.测定行星的体积 
D.测定飞船的运行速度 
 
	参考答案:A
	本题解析:
	本题难度:简单
	        3、选择题  某同学欲通过“Internet”查询“神舟”五号飞船绕地球运行的相关科技数据,从而将其与地球同步卫星进行比较,他了解到“神舟”五号在圆周轨道上运转一圈的时间小于24小时,由此可分析出
A.“神舟”五号运行的向心加速度比地球同步卫星小
B.“神舟”五号在圆周轨道上的运行速率比地球同步卫星小
C.“神舟”五号在圆周轨道上的运行角速度比地球同步卫星小
D.“神舟”五号在圆周轨道上的运行高度比地球同步卫星低
 
	参考答案:D
	本题解析:
	本题难度:困难
	        4、选择题  设在地球上和某天体上以相同的初速度竖直向上抛一物体的最大高度之比为k(均不计阻力),且已知地球与该天体的半径之比也为k,则地球与天体的质量之比为
[? ]
A、1 
B、k 
C、k2
D、1/k 
 
	参考答案:B
	本题解析:
	本题难度:一般
	        5、计算题  如图为宇宙中有一个恒星系的示意图。A为星系的一颗行星,它绕中央恒星O运行的轨道近似为圆。天文学家观测得到A行星运动的轨道半径为R0、周期为T0。
(1)中央恒星O的质量为多大?
(2)经长期观测发现,A行星实际运动的轨道与圆轨道总存在一些偏离,且周期性地每隔时间t0发生一次最大的偏离。天文学家认为形成这种现象的原因可能是A行星外侧还存在着一颗未知的行星B(假设其运行轨道与A在同一水平面内,且与A的绕行方向相同),它对A行星的万有引力引起A轨道的偏离。(由于B对A的吸引而使A的周期引起的变化可以忽略)根据上述现象及假设,试求未知行星B的运动周期T及轨道半径R。

 
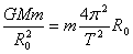
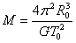
	参考答案:解:(1)设中央恒星质量为M ,A行星质量为m 
 ,得
,得
(2)A、B相距最近时,A偏离最大,据题意有 
 ,得
,得
据开普勒第三定律 ,得
,得
	本题解析:
	本题难度:一般