1、实验题 某实验小组探究弹簧的劲度系数k与其长度(圈数)的关系;实验装置如图(a)所示:一均匀长弹簧竖直悬挂,7个指针P0、P1、P2、P3、P4、P5、P6分别固定在弹簧上距悬点0、10、20、30、40、50、60圈处;通过旁边竖直放置的刻度尺,可以读出指针的位置,P0指向0刻度;设弹簧下端未挂重物时,各指针的位置记为x0;挂有质量为0.100kg砝码时,各指针的位置记为x;测量结果及部分计算结果如下表所示(n为弹簧的圈数,取重力加速度为9.80m/s2).已知实验所用弹簧的总圈数为60,整个弹簧的自由长度为11.88cm.
?
?
| P1
| P2
| P3
| P4
| P5
| P6
|
x0 (cm)
| 2.04
| 4.06
| 6.06
| 8.05
| 10.03
| 12.01
|
x(cm)
| 2.64
| 5.26
| 7.81
| 10.30
| 12.93
| 15.41
|
n
| 10
| 20
| 30
| 40
| 50
| 60
|
k(N/m)
| 163
| ①
| 56.0
| 43.6
| 33.8
| 28.8
|
1/k(m/N)
| 0.0061
| ②
| 0.0179
| 0.0229
| 0.0296
| 0.0347
|
(1)将表中数据补充完整:①,②;
(2)以n为横坐标,1/k为纵坐标,在图(b)给出的坐标纸上画出1/k-n图象;

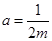
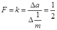
(3)图(b)中画出的直线可以近似认为通过原点;若从实验中所用的弹簧截取圈数为n的一段弹簧,该弹簧的劲度系数k与其圈数n的关系的表达式为k=?③?N/m;该弹簧的劲度系数k与其自由长度l0(单位为m)的表 达式为k=?④?N/m.
参考答案:(1)①81.7?②0.0122?(2)见解析;?(3)③
(N/m)(在
之间均可)?④
。(在
之间均可)
本题解析:
(1)①中
;
②
(2)图线如图:

(3)③由图线可知直线的斜率为
,故直线方程满足
,即
(N/m)(在
之间均可)
④由于60匝弹簧的总长度为11.88cm;则n匝弹簧的原长满足
,代入
可得:
。(在
之间均可)
本题难度:一般
2、选择题 如图3-2-12所示,一根直棒放在台阶上,Fa、Fb、Fc、Fd分别表示A、B两点可能的弹力方向.其中Fa、Fc是竖直向上,Fb、Fd垂直于棒的方向斜向上.其中正确表示棒上A、B两点所受弹力的有(?)

图3-2-12
A.Fa、Fc? B.Fb、Fc?C.Fa、Fd?D.Fb、Fd
参考答案:B
本题解析:弹力的方向总是垂直于接触面指向受力物体.
本题难度:简单
3、实验题 (11分)某同学设计了一个探究加速度与物体所受合力F及物体质量m的关系实验。如图(a)所示为实验装置简图。A为小车,B为打点计时器,C为装有沙的沙桶,D为一端带有定滑轮的长方形木板,实验中认为细绳对小车拉力F等于沙和沙桶总重量,小车运动加速度
可用纸带上的点求得。?

(1)(3分)图(b)为某次实验得到的纸带(交流电的频率为50Hz),试由图中数据求出小车运动的加速度
=_______
/s2。(结果保留两位有效数字)?
(2)保持沙和沙桶质量不变,改变小车质量m,分别得到小车运动的加速度
与质量
及对应的1/
数据如下表
次数
| 1
| 2
| 3
| 4
| 5
| 6
| 7
| 8
|
小车加速度a( /s2)
| 1.90
| 1.72
| 1.49
| 1.25
| 1.00
| 0.75
| 0.50
| 0.30
|
小车质量 (kg)
| 0.25
| 0.29
| 0.33
| 0.40
| 0.50
| 0.71
| 1.00
| 1.67
|
1/ ?(kg-1)
| 4.00
| 3.50
| 3.00
| 2.50
| 2.00
| 1.40
| 1.00
| 0.60
|
①(3分)根据上表数据,为直观反映F不变时a与m的关系,请在方格坐标纸中作出图线。
②(3分)从图线中得到F不变时小车加速度
与
之间定量关系式为__________。
(3)(2分)保持小车质量不变,改变沙和沙桶的重量,该同学根据实验数据作出了加速度
与合力F图线如图(d)所示,该图线不通过原点,明显超出偶然误差范围,其主要原因是__________.

参考答案:(1)3.0(3分)(2)①如图所示(3分)?②
(3分)
(3)实验前没有平衡摩擦力或者摩擦力平衡不够

本题解析:(1)据题意,已知打点计时器打点周期为T=0.01s,据逐
。(2)①从表格数据描点连线后是一条过原点的倾斜直线,即当拉力F一定时,小车加速度a与小车质量倒数
成正比。②由于A与
成正比,即图线的斜率表示拉力大小,则有:
,即
。(3)从图线可知,当拉力F增加了一定值时,加速度仍为0,据
,而a=0可知,实验前没有平衡摩擦力。
本题难度:一般
4、选择题 如图所示,重力大小都是G的A、B条形磁铁,叠放在水平木板C上,静止时B对A的弹力为F1,C对B的弹力为F2,则:( )

A.F1=G,F2=2G B.F1>G,F2>2G C.F1>G,F2<2G D.F1>G,F2=2G
参考答案:D
本题解析:分析:磁铁A对磁铁B的压力为F1,A对B的力有重力G和磁铁间的吸引力,故F1>G,而磁铁B对桌面的压力是磁铁A与B的总重力故为2G.
解答:解:磁铁A对磁铁B的压力为F1,包括A的重力和A受到的磁铁的引力,所以F1>G;
而看磁铁B对桌面的压力为F2,包括磁铁A与B两者的重力,故F2=2G.
故选D.
点评:本题目考查的是物体的受力分析,考查物体的受力分析,与物体间的相互作用力与力的合成,需要学生将基础知识掌握扎实,题目才能迎刃而解.
本题难度:一般
5、实验题 读出以下仪器的读数:
?
(1)电压表读数:??(2)电流表读数:?
?
(3)游标卡尺(10分度)读数:??(4)螺旋测微器读数:?
参考答案:(1)2.61V(2.60V — 2.63V);(2)0.52A;(3)30.6mm;(4)7.550mm(5.549 —7.551mm)
本题解析:首先确定使用的量程,然后确定每一个大格和每一个小格代表的示数.
(1)电压表的读数:电压表使用的是0-3V的量程,每一个大格代表1V,每一个小格代表0.1V,示数是2.61V.
(2)电流表的读数:电流表使用的是0-0.6A的量程,每一个大格代表0.2A,每一个小格代表0.02A,示数是0.52A.
游标卡尺读数的方法是主尺读数加上游标读数,不需估读.螺旋测微器的读数方法是固定刻度读数加上可动刻度读数,在读可动刻度读数时需估读.
(3)游标卡尺的读数:游标卡尺主尺读数为30mm,游标读数为6×0.1mm="0.6mm" 所以最终读数为30.6mm
(4)螺旋测微器固定刻度读数为6.5mm,可动刻度读数为5.0×0.01mm,最终读数为7.550mm。考点:
点评:掌握电流表、电压表、电能表、刻度尺、天平、弹簧测力计、温度计的正确使用和正确读数.掌握游标卡尺和螺旋测微器的读数方法.游标卡尺读数的方法是主尺读数加上游标读数,不需估读.螺旋测微器的读数方法是固定刻度读数加上可动刻度读数,在读可动刻度读数时需估读.
本题难度:一般