微信搜索关注"91考试网"公众号,领30元,获取公务员、事业编、教师等考试资料40G!
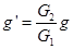
1、选择题 万有引力定律和库仑定律都遵循平方反比律,因此引力场和电场之间有许多相似的性质,在处理有关问题时可以将它们进行类比。例如电场中反映各点电场强弱的物理量是电场强度,其定义式为E=F/q,在引力场中可以有一个类似的物理量来反映各点引力场的强弱,设地球质量为M,半径为R,地球表面处的重力加速度为g,引力常量为G,如果一个质量为m的物体位于距离地心2R处的某点,则下列表达式中能反映该点引力场强弱的是
[? ]
A.
B.
C.
D.
参考答案:D
本题解析:
本题难度:一般
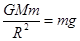
2、选择题 宇宙中有一双星系统远离其他天体,各以一定的速率绕两星连线上的一点做圆周运动,两星与圆心的距离分别为R1和R2 且R1不等于R2,那么下列说法中正确的是:(?)
A.这两颗星的质量必相等
B.这两颗星的速率大小必相等
C.这两颗星的周期必相同
D.这两颗星的速率之比为
参考答案:C
本题解析:双星靠相互间的万有引力提供向心力,具有相同的角速度,质量不一定相等,A错误,根据公式
可得角速度相等,半径不同,即两星的速率不一定相等,
,BD错误,根据公式
可得,两星的周期相等,C正确,
点评:解决本题的关键知道双星靠相互间的万有引力提供向心力,具有相同的角速度.以及会用万有引力提供向心力进行求解.
本题难度:简单
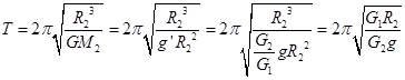
3、选择题 2013年12月2日1时30分,我国成功发射了“嫦娥二号”探月卫星,12月6日17时47分顺利进入环月轨道.若该卫星在地球、月球表面的重力分别为G1、G2,已知地球半径为R1,月球半径为R2,地球表面处的重力加速度为g,则(?)
A.月球表面处的重力加速度为
B.月球与地球的质量之比为
C.卫星沿近月球表面轨道上做匀速圆周运动的周期为
D.月球与地球的第一宇宙速度之比为
参考答案:AC
本题解析:设月球表面重力加速度为
,则有
,地球表面重力
,所以
,整理得
,选项A对。根据星球表面万有引近似等于重力有
,即
,所以有月球与地球的质量之比为
,选项B错。月球表面的卫星有万有引力提供向心力
则有
,选项C对。第一宇宙速度即
,可得月球与地球的第一宇宙速度之比为
,选项D错。
本题难度:一般
4、计算题 月球质量是地球质量的
,月球半径是地球半径的
,如果分别在地球上和月球上用同一初速度竖直向上抛出一个物体(阻力不计),求:?
(1)二者上升高度的比值;?
?(2)二者从抛出到落地所用时间的比值。
参考答案:解:
(1)
=
(2)
=
本题解析:
本题难度:一般
5、填空题 某人在某一星球上以速度v竖直上抛一物体,经时间t落回抛出点,已知该星球的半径为R,若要在该星球上发射一颗靠近该星球表面运转的人造卫星,已知万有引力常量G,则该人造卫星的环绕速度为?和该星球的质量?。
参考答案:
、
本题解析:竖直上抛:
得:
?,人造卫星环绕时,万有引力提供向心力:
得:
,将
代入得:
;
由
得:
将
代入得
本题难度:简单