微信搜索关注"91考试网"公众号,领30元,获取公务员、事业编、教师等考试资料40G!
1、计算题 若甲、乙两车在同一条平直公路上行驶,甲车以v1=10 m/s的速度做匀速运动,经过车站A时关闭油门以a1=4 m/s2的加速度匀减速前进。2 s后乙车与甲车同方向以a2=1 m/s2的加速度从同一车站A出发,由静止开始做匀加速直线运动。问乙车出发后经多长时间追上甲车?
参考答案:解:乙车出发时甲车具有的速度为:v1t=v1-a1t0=10 m/s-2×4 m/s=2 m/s
此时离甲车停止运动的时间
根据题设条件,乙车在0.5s内追不上甲车,也就是说乙车追上甲车时,甲车已经停止了运动。甲车停止时离车站A的距离
设乙车走完这段路程所需的时间为t,由
,得:
故乙车出发后经过5 s追上甲车
本题解析:
本题难度:一般
2、选择题 刹车距离是衡量汽车安全性能的重要参数之一。图中所示的图线1、2分别为甲、乙两辆汽车在紧急刹车过程中的刹车距离s与刹车前的车速v的关系曲线,已知紧急刹车过程中车与地面间是滑动摩擦。据此可知,下列说法中正确的是

[? ]
A.以相同的车速开始刹车甲车先停止运动
B.以相同的车速开始刹车甲、乙两车同时停止运动
C.乙车与地面间的动摩擦因数较大,乙车的刹车性能好
D.甲车的刹车距离随刹车前的车速v变化快,甲车的刹车性能好
参考答案:C
本题解析:
本题难度:一般
3、填空题 我国自行研制的“枭龙”战机04架在四川某地试飞成功。假设该战机起飞前从静止开始做匀加速直线运动,达到起飞速度60m/s所需的时间为4s,则起飞前运动的距离为__________m。
参考答案:120m
本题解析:从静止开始运动,所以位移时间公式为
,加速度为
,所以
点评:在解题时要注意规律的应用,准确的应用规律不但可以节省时间,还可以提高做题的准确性.
本题难度:一般
4、选择题 如图,表面光滑的固定斜面顶端安装一定滑轮,小物块A、B用轻绳连接并跨过滑轮(不计滑轮的质量和摩擦).初始时刻,A、B处于同一高度并恰好处于静止状态.剪断轻绳后A下落、B沿斜面下滑,则从剪断轻绳到物块着地,两物块

A、速度的变化量相同 B、机械能的变化量相同
C、落地时间相同 D、重力做功的平均功率相同
参考答案:BD
本题解析:刚开始AB处于静止状态,所以有
,则mB>mA,A、剪断轻绳后A自由下落,B沿斜面下滑,AB都只有重力做功,根据机械能守恒定律得:
,得
,速度的变化量△v=v-0=v,可知两个物体落地速度大小相等,但方向不同,所以速度不同,则速度变化量不同,故A错误;B、AB两个物体都只有重力做功,机械能守恒,机械能的变化量均为零,故B正确.C、初始时刻,A、B处于同一高度并恰好处于静止状态.当剪断后,A的合力为mAg,加速度为g,B的合力为mBgsinθ,根据牛顿第二定律可知B的加速度为gsinθ,即加速度不同.对A,由
,得
;对B,由
,则得
,可知运动时间不同.故C错误;D、A重力做功的平均功率为:
;B重力做功的平均功率为:
,所以重力做功的平均功率相等,故D正确;故选:BD
考点:本题考查了机械能守恒定律;功能关系.
本题难度:困难
5、计算题 某天,张叔叔在上班途中沿人行道向一公交车站走去,发现一辆公交车正从身旁的平直公路驶过,此时,张叔叔的速度是1 m/s,公交车的速度是15 m/s,他们距车站的距离为50 m假设公交车在行驶到距车站25 m处开始刹车,刚好到车站停下,停车10 s后公交车又启动向前开去,张叔叔的最大速度是6 m/s,最大起跑加速度为2.5 m/s2,为了安全乘上该公交车,他用力向前跑去,求:
(1)公交车刹车过程视为匀减速运动,其加速度大小是多少?
(2)分析张叔叔能否在该公交车停在车站时安全上车。
参考答案:解:(1)公交车的加速度
所以其加速度大小为4.5 m/s2
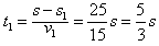
(2)汽车从相遇处到开始刹车用时
汽车刹车过程中用时
张叔叔以最大加速度达到最大速度用时
张叔叔加速过程中的位移
以最大速度跑到车站的时间
t1+t2<t3+t4<t1+t2+10 s,张叔叔可以在汽车还停在车站时安全上车
本题解析:
本题难度:一般