微信搜索关注"91考试网"公众号,领30元,获取公务员、事业编、教师等考试资料40G!
1、计算题 如图所示,三个可视为质点的物块A,B,C,在水平面上排成一条直线,且彼此间隔一定距离。已知mA=mB=10 kg,mC=20 kg,C的左侧水平面光滑,C的右侧水平面粗糙,A,B与粗糙水平面间的动摩擦因数μA =μB=0.4,C与粗糙水平面间动摩擦因数μC=0.2,A具有20 J的初动能向右运动,与静止的B发生碰撞后粘在一起,又与静止的C发生碰撞,最后A,B,C粘成一个整体,求:(取g=10 m/s2)
(1)在第二次碰撞中损失的机械能有多少?
(2)这个整体在粗糙的水平面上滑行的距离是多少?

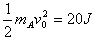
参考答案:解:(1)由于A的初动能
得A的初速度v0=2 m/s
A,B发生完全非弹性碰撞,根据动量守恒定律
mAv0=(mA+mB)v1,得v1=1 m/s
A,B与C发生完全非弹性碰撞,根据动量守恒定律
(mA+mB)v1=(mA+mB+mC)v2,得v2=0.5 m/s
在第二次碰撞中损失的机械能
(2)A,B,C整体在粗糙水平面上所受的摩擦力f=fA+fB+fC=μAmAg+μBmBg+μCmCg=120 N
根据动能定理
解得
本题解析:
本题难度:困难
2、选择题 如图所示,两个物体1和2置于光滑的水平面上,它们的质量分别为m1和m2,且m1<m2,现将两个大小 均为F、方向相反的恒力同时作用在1和2上,经相同的距离后(两物体还没接触),撤去两个力,此后两物体碰撞并粘在一起,碰撞后,两物体将

[? ]
A.向左运动
B.向右运动
C.停止运动
D.运动,但方向不能确定
参考答案:A
本题解析:
本题难度:一般
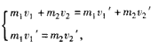
3、计算题 质量分别为m1和m2的两个小球在光滑的水平面上分别以速度v1、v2同向运动并发生对心碰撞,碰后m2被右侧的墙原速弹回,又与m1相碰,碰后两球都静止,求:第一次碰后m1球的速度。
参考答案:解:根据动量守恒定律得
解得
本题解析:
本题难度:一般
4、计算题 光滑的水平面上,质量为m1的小球甲以速率v0向右运动。在小球甲的前方A点处有一质量为m2的小球乙处于静止状态,如图所示。甲与乙发生正碰后均向右运动。乙被墙壁C弹回后与甲在B点相遇,
。已知小球间的碰撞及小球与墙壁之间的碰撞均无机械能损失,求求甲、乙两球的质量之比
。

参考答案:解:两球发生弹性碰撞,设碰后甲、乙两球的速度分别为v1、v2,则
m1v0=m1v1+m2v2
m1v02=
m1v12+
m2v22
从两球碰撞后到它们再次相遇,甲和乙的速度大小保持不变,由于BC=2AB,则甲和乙通过的路程之比为v1:v2=1:5
联立解得
本题解析:
本题难度:一般
5、选择题 质量相等的A、B两球在光滑水平面上沿同一直线、同一方向运动,A球的动量是7kg·m/s,B球的动量是5 kg·m/s,当A球追上B球发生碰撞,则碰撞后A、B两球的动量可能值是
[? ]
A.pA"=6 kg·m/s,pB"=6 kg·m/s
B.pA"=3 kg·m/s,pB"=9 kg·m/s
C.pA"=-2 kg·m/s,pB"=14 kg·m/s
D.pA"=-4 kg·m/s,pB"=17 kg·m/s
参考答案:A
本题解析:
本题难度:一般
Good steel should be used for the making of the sword's cutting edge. 好钢要用在刀刃上.