微信搜索关注"91考试网"公众号,领30元,获取公务员、事业编、教师等考试资料40G!
1、实验题 卡文迪许利用如图所示的扭秤实验装置测量了引力常量G。
(1)为了测量石英丝极微小的扭转角,该实验装置中采取使“微小量放大”的主要措施是

[? ]
A.减小石英丝的直径
B.增大T型架横梁的长度
C.利用平面镜对光线的反射
D.增大刻度尺与平面镜的距离
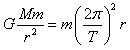
(2)已知T型架水平横梁长度为l,质量分别为m和m"的球,位于同一水平面内,当横梁处于力矩平衡状态时,测得m、m"连线长度为r,且与水平横梁垂直,同时测得石英丝的扭转角度为θ,由此得到扭转力矩kθ(k为扭转系数且已知),则引力常量的表达式G=____________。
参考答案:(1)CD
(2)
本题解析:
本题难度:一般
2、选择题 美国东部时间2009年2月10日11时55分,美国铱星公司的“铱33”商用通信卫星与俄罗斯已报废的“宇宙2251”军用通信卫星在西伯利亚上空相撞。这是人类历史上首次发生完整的在轨卫星相撞事件,引起人们对太空安全的担忧。
已知碰前“铱33” 卫星绕地球做匀速圆周运动,右表是“铱33”卫星及地球的部分参数,根据表中提供的数据及有关物理知识,可估算出(?)

A.“铱33”卫星碰前的运行速度约为11.2km/s
B.“铱33”卫星绕地球运行周期约为100min
C.“铱33”卫星的轨道高度比地球同步卫星的轨道高度要高
D.相撞前两卫星可能位于同一条轨道上,并绕地球沿同一方向运动
参考答案:B
本题解析:A中11.2km/s是第二宇宙速度,卫星绕地球运动最大速度是第一宇宙速度,A错;B正确;C地球同步卫星高度为36000km,C错误;D同一轨道两卫星速度相同不可能追上,D错误
本题难度:简单
3、计算题 我国发射的“嫦娥一号”探月卫星沿近似于圆形的轨道绕月飞行。为了获得月球表面全貌的信息,让卫星轨道平面缓慢变化。卫星将获得的信息持续用微波信号发回地球。设地球和月球的质量分别为M和m,地球和月球的半径分别为R和R1,月球绕地球的轨道半径和卫星绕月球的轨道半径分别为r和r1,月球绕地球转动的周期为T。假定在卫星绕月运行的一个周期内卫星轨道平面与地月连心线共面,求在该周期内卫星发射的微波信号因月球遮挡而不能到达地球的时间(用M、m、R、R1、r、r1和T表示,忽略月球绕地球转动对遮挡时间的影)。
参考答案:解:如图,O和O′分别表示地球和月球的中心。在卫星轨道平面上,A是地月连心级OO′与地月球面的公切线ACD的交点,D、C和B分别是该公切线与地球表面、月球表面和卫星圆轨道的交点,根据对称性,过A点在另一侧作地月球面的公切线,交卫星轨道于E点。卫星在
上运动时发出的信号被遮挡

设探月卫星的质量为m0,万有引力常量为G,根据万有引力定律有
?①
?②
式中,T1是探月卫星绕月球转动的周期
由①②式得
③
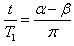
设卫星的微波信号被遮挡的时间为t,则由于卫星绕月球做匀速圆周运动,应有
?④
式中,α=∠CO′A,β=∠CO′B。由几何关系得
?⑤
?⑥
由③④⑤⑥式得
⑦
本题解析:
本题难度:困难
4、选择题 如图是在牛顿著作里画出的一副原理图.图中表示出从高山上用不同的水平速度抛出的物体地轨迹.物体的速度越大,落地点离山脚越远.当速度足够大时,物体将环绕地球运动,成为一颗人造地球卫星.若卫星的运动可视为匀速圆周运动,则要确定卫星的最小发射速度,需要知道( )
①引力常数、地球质量和地球半径;?②引力常数、卫星质量和地?球半径;?③地球表面处重力加速度、地球半径;④地球表面处重力加速度、地球自转周期.
A.①③
B.②④
C.①④
D.②③