微信搜索关注"91考试网"公众号,领30元,获取公务员、事业编、教师等考试资料40G!
1、选择题 在一定温度下,下列叙述不能作为可逆反应A(g)+3B(g)
2C(g)达到平衡的标志的是?(?)
①C的生成速率是B的生成速率的2/3倍? ②单位时间生成a mol A,同时生成3a mo1B ③A、B、C的浓度不再变化? ④混合气体的总压强不再变化
⑤混合气体的物质的量不再变化? ⑥单位时间消耗 a mol A,同时生成3amolB
⑦A、B、C 的分子数目比为1∶3∶2
A.②⑦? B.⑥④? C.①③? D.⑤⑥
参考答案:A
本题解析:可逆反应达到平衡状态的本质为1、体系内各组分的浓度保持不变;2、正、逆反应速率相等;①C的生成速率是B的生成速率的2/3倍即为化学计量数之比,达平衡;②单位时间生成a mol A,同时生成3a mo1B来源:91考试网 91EXAm.org不一定平衡,因每时每刻都这样反应;③A、B、C的浓度不再变化即体系达平衡;④由于该反应为非等体积反应,混合气体的总压强不再变化,即各组分的浓度不变达平衡状态;⑤由于该反应为非等体积反应,混合气体的物质的量不再变化即各组分的浓度不变达平衡状态;⑥单位时间消耗 a mol A,同时生成3amolB即A、B的浓度不变,反应达平衡状态;⑦A、B、C 的分子数目比为1∶3∶2
不一定达平衡;
本题难度:一般
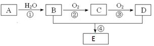
2、填空题 (14分)已知A的产量通常用来衡量一个国家的石油化工水平,现以A为主要原料合成一种具有果香味的物质E,其合成路线如下图所示。

请回答下列问题:
(1)写出A的电子式?
B、D分子中的官能团名称分别是?、?。
(2)写出下列反应的化学方程式,并注明反应类型:
①?;反应类型:??;
②?;
④?;反应类型:??;
(3)生成乙酸乙酯的反应是可逆反应,反应物不能完全转化为生成物,反应一段时间后,就达到了该反应的限度,即达到化学平衡状态。下列描述能说明该反应已达到化学平衡状态的是(填序号) 。
①单位时间里,生成1mol乙酸乙酯,同时生成1mol水?
②单位时间里,生成1mol乙酸乙酯,同时生成1mol乙酸
③单位时间里,消耗1mol乙醇,同时消耗1mol乙酸?
④生成物中乙酸乙酯的物质的量不再变化
参考答案:(1)
,羟基,羧基?
(2)①CH2=CH2 +H2O → CH3CH2OH?加成反应
②2 CH3CH2OH+O2?2 CH3CHO + 2H2O?
④CH3COOH + CH3CH2OH
CH3COOCH2CH3?+ H2O 取代反应(酯化反应)
(3)②④
本题解析:已知A的产量通常用来衡量一个国家的石油化工水平,所以A是乙烯。乙烯含有碳碳双键,能和水发生加成反应生成乙醇,即B是乙醇。乙醇含有羟基,能发生催化氧化生成乙醛,乙醛继续被氧化生成乙酸。乙酸含有羧基,能和乙醇发生酯化反应生成乙酸乙酯。
(3)在一定条件下,当可逆反应中正反应速率和逆反应速率相等时(但不为0),各种物质的浓度或含量均不再发生变化的状态,是化学平衡状态,所以④正确。①③中反应速率的方向是相同的,所以不能说明已经达到平衡状态;②中反应速率的方向是相反的,且反应速率之比满足相应的化学计量数之比,②正确,答案选②④。
本题难度:一般
3、填空题 将4 mol SO3气体和4 mol NO置于2 L容器中,一定条件下发生如下可逆反应(不考虑NO2和N2O4之间的相互转化):2SO3(g)
2SO2(g)+O2(g)、2NO(g)+O2(g)
2NO2(g)。
(1)当上述系统达到平衡时,O2和NO2的物质的量分别为n(O2)=0.1 mol、n(NO2)=3.6 mol,则此时
SO3气体的物质的量为______________。
(2)当上述系统达到平衡时,欲求其混合气体的平衡组成,则至少还需要知道两种气体的平衡浓度,但这两种气体不能同时是SO3和______________,或NO和______________(填它们的分子式)。
(3)在其它条件不变的情况下,若改为起始时在1 L容器中充入2 molNO2和2 molSO2,则上述两反应达到平衡时,c(SO2)平=______________mol/L。
参考答案:(1)0.2mol
(2)SO2;NO2
(3)1.9
本题解析:
本题难度:一般
4、选择题 相同容积的四个密闭容器中,进行同样的可逆反应2A (g) +B(g)
?3C(g)+2D(g) ,起始时四个容器内所装A、B的量如下:

在相同温度下建立平衡时,A或B的转化率α的大小关系为(? )
A、A的转化率:甲<丙<乙<丁? B、A的转化率:甲<乙<丙<丁
C、B的转化率:甲>乙>丙>丁? D、B的转化率:丁>乙>丙>甲
参考答案:AC
本题解析:此题考查的知识点是反应物的数值对转化率大小的影响。我们可以以乙、丙为基准,先比较它们两组A、B转化率的大小,再与甲、乙两组比较.丙组的A、B都为乙组的两倍,两容器的容积相同,所以丙容器的压强比乙容器的压强大,此反应正方向为气体体积增大的反应,压强大则化学平衡向逆反应方向移动,所以丙组的A、B的转化率都比乙组的小。
将甲组和乙组相比,B相同,A物质甲组比乙组多1mol,可看作甲组为在乙组的基础上增加了1molA,我们知道:增加A物质的量,其他反应物如B的转化率增大,A本身的转化率减小.所以A的转化率甲<乙,B的转化率甲>乙。
同理,丙组与甲组相比,A相同,B物质丙组比甲组多1mol,所以A的转化率甲<丙,B的转化率甲>丙。乙组与丁组相比,A相同,B物质丁组比乙组要多1mol,所以A的转化率乙<丁,B的转化率乙>丁。丙组与丁组相比,B相同,A物质丙组比丁组多1mol,所以A的转化率丙<丁,B的转化率丙>丁。
通过以上比较可得出结论:A的转化率甲<丙<乙<丁;B的转化率甲>乙>丙>丁所以正确的答
案选AC。
本题难度:一般
5、填空题 在一个固定容积的密闭容器中,在一定温度下发生下列反应:
A(g)+B(g)→2C(g),起始加入1molA和2molB,反应达到平衡后测得C的浓度为
p mol/L,且C的体积分数为ω。在相同条件下:
(1)若在相同容器中加入2molA和4molB,达平衡后,C的物质的量浓度为_______mol/L;
(2)若在相同容器中加入0.5molC,要求平衡后C的浓度为0.5p mol/L,且C的体积分数为ω,则还应在容器中加入A______mol,B______mol;?
(3)若在相同容
器中加入a mol A、b mol B、c mol C,并要求平衡后C的浓度为p mol/L,C的体积分数仍为ω,则a、b、c应符合的关系是__________________________(其中一个只含a和b,另一个只含a和c)。?
参考答案:(1) 2p(2分)?
(2) 0.25(2分);? 0.75 (2分)?
(3) b-a=1, a+
="1" (全对得3分,部分对得1分)
本题解析:略
本题难度:简单