1、推断题 已知有以下物质相互转化

试回答:(1)写出B的化学式?,D的化学式?。
(2)写出由E转变成F的化学方程式?。
(3)写出用KSCN鉴别G溶液的实验现象是?;向G溶液加入A的有关离子反应方程式?。
参考答案:(1)FeCl2? KCl?(2)4Fe(OH)2+O2+2H2O=4Fe(OH)3
(3)出现血红色溶液? 2Fe3++Fe=3Fe2+
本题解析:红褐色沉淀F是氢氧化铁、E为氢氧化亚铁、G为氯化铁;D溶液与硝酸银溶液生成白色沉淀H为氯化银,滤液焰色反应呈紫色(透过蓝色钴玻璃)说明滤液中含有K+,所以D为KCl,逆推B和C应为氯化亚铁和氢氧化钾,FeCl3溶液与A生成B溶液,所以B为氯化亚铁,A为铁。检验氯化铁溶液中Fe3+用KSCN溶液,氯化铁溶液中加入铁生成氯化亚铁溶液。
点评:无机推断题要找准题眼,如本题中的红褐色沉淀为氢氧化铁、白色沉淀在空气中转化为氢氧化铁的反应为4Fe(OH)2+O2+2H2O=4Fe(OH)3。
本题难度:一般
2、填空题 FeCl3在现代工业生产中应用广泛。某化学研究性学习小组模拟工业生产流程制备无水FeCl3,再用副产品FeCl3溶液吸收有毒的H2S。
Ⅰ.经查阅资料得知:无水FeCl3在空气中易潮解,加热易升华。他们设计了制备无水FeCl3的实验方案,装置示意图(加热及夹持装置略去)及操作步骤如下:

①检查装置的气密性;
②通入干燥的Cl2,赶尽装置中的空气;
③用酒精灯在铁屑下方加热至反应完成
④........
⑤体系冷却后,停止通入Cl2,并用干燥的N2赶尽Cl2,将收集器密封
请回答下列问题:
(1)装置A中反应的化学方程式为?。
(2)第③步加热后,生成的烟状FeCl3大部分进入收集器,少量沉积在反应管A右端要使沉积的FeCl3进入收集器,第④步操作是?。
(3)操作步骤中,为防止FeCl3潮解所采取的措施有(填步骤序号)?。
(4)装置D中FeCl2全部反应后,因失去吸收Cl2的作用而失效,写出检验FeCl2是否失效的试剂:?。
(5)在虚线框中画出尾气吸收装置E并注明试剂。
Ⅱ.该组同学用装置D中的副产品FeCl3溶液吸收H2S,得到单质硫;过滤后,再以石墨为电极,在一定条件下电解滤液。
(6)FeCl3与H2S反应的离子方程式为?。
(7)电解池中H+在阴极放电产生H2,阳极的电极反应式为?。
(8)综合分析实验Ⅱ的两个反应,可知该实验有两个显著优点:
①H2S的原子利用率为100%;②?。
参考答案:(1)
(2)在沉积的的FeCl3固体下方加热。
(3)②、⑤,
(4)酸性高锰酸钾溶液
(5)
(6)
(7)Fe2+-e-=Fe3+
(8)FeCl3可以循环利用。?(每空2分)
本题解析:(1)A中反应的化学方程式
(2)要使沉积的FeCl3进入收集器,根据FeCl3加热易升华的性质,第④的操作应该是:在沉积的的FeCl3固体下方加热。
(3)为防止FeCl3潮解所采取的措施有②通入干燥的Cl2,⑤用干燥的N2赶尽Cl2,
(4)装置D中FeCl2全部反应完后,因为失去吸收Cl2的作用而失效,检验FeCl2是否失效就是检验二价铁离子,最好用
,也可以用酸性高锰酸钾溶液检验。
(5)
,吸收的是氯气,不用考虑防倒吸
(6)
(7)阳极的电极反应:
(8)该实验的另一个优点是FeCl3可以循环利用。
本题难度:困难
3、选择题 向一定量的Fe、FeO和Fe2O3的混合物中加入120 mL 4 mol·L-1的稀硝酸,恰好使混合物完全溶解,放出1.344 L NO(标准状况),往所得溶液中加入KSCN溶液,无血红色出现。若用足量的氢气在加热条件下还原相同质量的混合物,能得到铁的物质的量为(?)
A.0.24 mol
B.0.21 mol
C.0.16 mol
D.0.14 mol
参考答案:B
本题解析:依据题意可知参加反应的HNO3(0.48 mol)分成两部分,一部分生成NO(0.06 mol),另一部分生成Fe(NO3)2,依据N原子守恒可知Fe(NO3)2中的
物质的量为0.48 mol-0.06 mol=0.42 mol,所以Fe(NO3)2物质的量为
,即混合物中含铁的物质的量为0.21 mol。
本题难度:一般
4、计算题
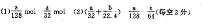
(1)甲组用a g Cu粉,在加热条件下,与空气充分反应,然后将生成的CuO全部溶于适量的稀HNO3溶液中,制得Cu(NO3)2溶液。则消耗的O2的物质的量是?,
消耗的HNO3的物质的量是?
(2)乙组用a g Cu粉全部溶于一定量的浓HNO3中,测得生成的气体在标准状况下体积为b L
(不考虑NO2转化成N2O4)。则消耗的HNO3的物质的量是?mol。
为消除污染,将生成的气体通入水中并同时通入O2,使生成的气体完全溶于水,则消耗O2的物质的量是?mol;若将生成的气体通入NaOH溶液中,气体被完全吸收,产物只有NaNO3、NaNO2和H2O,则生成NaNO2的物质的量是?mol。
参考答案:

本题解析:本题考查电子守恒和元素守恒,属中等难度。(1)n(O2)=ag/[64g·mol-1×2]= a/128mol
n(HNO3)="2" n(Cu)= 2ag/64g·mol-1=a/32mol 。(2)利用氮元素守恒,可得消耗的HNO3的物质的量(a/32 +b/22.4)mol,再利用a g Cu失去的电子数与O2得到的电子数相等,可得消耗O2的物质的量是n(O2)=a/128mol。若直接通入NaOH溶液中气体被完全吸收,产物只有NaNO3、NaNO2和H2O,则生成NaNO2的物质的量可利用电子守恒得出。n(NaNO2)= ag/64g·mol-1=a/64mol。
本题难度:一般
5、选择题 某课外研究性化学兴趣小组查阅资料:硫酸铜受热分解生成氧化铜和气体,受热温度不同,该
气体成分也不同,气体成分可能含
、
和
中的一种、两种或三种。下列叙述中错误的是(?)
A.所得气体成分只有一种,则气体为
B.所得气体成分有两种,则气体为
、
C.所得气体成分有三种,则气体为
、
和
D.若发现气体成分中有
,则该气体中一定含有
参考答案:B
本题解析:略
本题难度:简单