微信搜索关注"91考试网"公众号,领30元,获取公务员、事业编、教师等考试资料40G!
1、选择题 把蘸有浓盐酸的玻璃棒靠近装有氨水的试剂瓶口,为了使现象明显,可先往瓶中加入一种物质,该物质可以选用下列物质中的(???)
①浓硫酸 ②固体烧碱 ③固体碳酸钙 ④生石灰 ⑤固体NH4Cl ⑥固体食盐
A.①②
B.②③④
C.②④⑤
D.①③⑥
参考答案:C
本题解析:该实验是NH3+HCl====NH4Cl,有“白烟”生成。②固体烧碱吸水放热,④生石灰与水反应放热,⑤固体NH4Cl导致平衡的移动减小氨气的溶解度。③⑥无影响,①减少氨气的挥发。
本题难度:简单
2、实验题 某学生课外活动小组利用下图所示装置分别做如下实验

(1)在试管中注入某红色溶液,加热试管,溶液颜色逐渐变浅,冷却后??? 恢复红色,则原溶液可能是________________溶液;加热时溶液由红色逐渐变浅的原因是________________________________________。
(2)在试管中注入某无色溶液,加热试管,溶液变为红色,冷却后恢复无色,?? 则此溶液可能是________________溶液;加热时溶液由无色变为红色的原因是_______________________________________________________________。
参考答案:(1)稀氨水和酚酞;稀氨水中的NH3气逸出,所以溶液的颜色变
本题解析:
本题难度:一般
3、实验题 (15分)
三氯化磷(PCl3)是一种重要的有机合成催化剂。实验室常用红磷与干燥的Cl2制取PCl3,装置如下图所示。

已知:红磷与少量Cl2反应生成PCl3,与过量Cl2反应生成PCl5。PCl3遇O2会生成POCl3(三氯氧磷), POCl3溶于PCl3,PCl3遇水会强烈水解生成H3PO3和HCl。PCl3、POCl3的熔沸点见下表。
?
物质
| 熔点/℃
| 沸点/℃
|
PCl3
| -112
| 75.5
|
POCl3
| 2
| 105.3
请回答: (1)写出A中反应的离子方程式?????????????????????????????????????????。 (2)B装置中所盛试剂是??????;E中烧杯内冷水的作用是??????????????????????????。 (3)实验前玻璃管之间连接需要用到橡皮管,其连接方法是:先把?????????????????????,然后稍稍用力即可把玻璃管插入橡皮管中。 (4)检查装置气密性后,向D装置的曲颈瓶中加入红磷,打开K3通入干燥的CO2,一段时间后关闭K3,加热曲颈瓶至上部有黄色升华物出现时通入氯气,反应立即进行。其中通入干燥CO2的目的是??????????????????????????????。 (5)实验制得的粗产品中常含有POCl3、PCl5等,加入红磷加热除去PCl5后,再通过 ???????(填实验名称)即可得到较纯净的PCl3。 (6)实验后关闭K1,打开K2,将A、B中余氯通入300ml 1mol/L的NaOH溶液中。若NaOH恰好完全反应,则吸收氯气的物质的量为(假设反应生成了NaCl 、 NaClO 和 NaClO3等钠盐)?????mol,反应中转移电子的物质的量(n)的范围是??????????????????????????????。
参考答案:(除标注外,每空2分,共15分) (1)? MnO2?
本题解析: 试题分析:(1)A装置是产生氯气的装置,二氧化锰与浓盐酸加热制取氯气,离子方程式为 MnO2?+ 4H+?+ 2Cl—△ Mn2+?+ Cl2↑+ 2H2O ,或者用高锰酸钾溶液与浓盐酸不加热制取氯气; (2)实验室常用红磷与干燥的Cl2制取PCl3,所以氯气需干燥后通入C中,B中盛放浓硫酸;PCl3的熔点较低,所以E中烧杯内冷水的作用是 冷凝,便于收集产品 ; (3)玻璃管与橡胶管连接时,往往把胶管的一端用水浸湿,或把玻璃管口用水润湿,方便连接; (4)因为PCl
本题难度:一般
4、填空题
 (1)NaOH溶液的物质的量浓度。 (2)当NaOH溶液的体积为140 mL,固体混合物的质量是51.6 g时,充分反应后,生成气体的体积(标准状况)为________ L。 (3)当NaOH溶液的体积为180 mL,固体混合物的质量仍为51.6 g时,充分反应后,生成气体的体积(标准状况)为________ L。
参考答案:(1)5 mol·L-1? (2)15.68? (3)16.
本题解析:(1)从图上看出:34.4 g混合物和100 mL NaOH恰好完全反应。 因为1 mol NaOH~1 mol NH3即n(NaOH)=n(NH3)=11.2 L/22.4 L·mol-1=0.5 mol,c(NaOH)=n/V="0.5" mol/0.100 L="5" mol·L-1。 (2)V(NaOH)="140" mL,因为固体过量, 所以V(气)=22.4n(Na
本题难度:一般
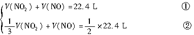
5、填空题 80℃,101.3 kPa下,用图86装置进行如下实验。A、C两筒内分别装有无色气体,它们可能是NH3、O2、N2、H2S、NO、CO2等气体,B筒内装有Na2O2固体,推动A的活塞使A筒内气体缓缓地全部通过B后进入C筒,C筒内气体由无色变为红棕色,但其体积换算成同温同压下却并未变化(不考虑2NO2 N2O4)。?
 图8-6? (1)C中发生的反应,其化学方程式是 。已知原C中的气体是单一气体,它是 ,理由是 。? (2)将反应后C筒内气体用水充分吸收,在同温同压下,气体体积减少一半,则与水反应前 C中的气体是????????。? (3)若实验开始前A、C中气体体积(换算成标准状况)分别为?1.40 L?和2.24 L,且A中的气体经过B管后,B管增重了?1.40 g?。经计算和推理可判定A中的气体是???????,其质量为???????g(不必写出计算和推理过程)。?
参考答案:(1)2NO+O2 本题解析:没跟水反应前,C筒NO2、NO体积分别为V(NO2)、V(NO),则有?
 V(NO2)="1.68" L? 由B筒进入C筒中O2体积V(O2)= 本题难度:简单
|