| 高考省级导航 | |
|
|
|
高中物理高考知识点《导体的伏安特性曲线》高频试题强化练习(2017年最新版)(十)
(2)该同学接入符合要求的R0后,闭合开关S,调整电阻箱的阻值,读取电压表的 示数改变电阻箱阻值,取得多组数据,作出了如图 (b)所示的图线(已知该直线 的截距为0.1 V-1).则根据该同学所作出的图线可求得该电池的电动势E为?V, 内阻r为?Ω。 参考答案:(1)? D?(2)10 本题解析:(1)保护电阻的意思是电路无其他用电器时都不会烧坏电源,所以R=E/I=1800欧 本题难度:一般 2、实验题 (9分)(1)如图所示为简单欧姆表原理示意图,其中电流表的满偏电流Ig=300μA,内阻Rg=100Ω,可变电阻R的最大阻值为10 kΩ,电池的电动势E=1.5V,内阻r =0.5Ω,图中与接线柱A相连的表笔颜色应该是(?)(填“红”或“黑”)色,按正确使用方法测量电阻Rx的阻值时,指针指在刻度盘的正中央,则Rx=?kΩ。若该欧姆表使用一段时间后,电池电动势变小,内阻变大,但此表仍能调零,用正确使用方法再测上述Rx其测量结果与原结果相比较(?)。(填“变大”、“变?小”或“不变”) 参考答案:(1)红;5;变大(每空1分,共3分) (2) ①如图. 本题解析:(1)欧姆表是电流表改装的,必须满足电流的方向“+”进“-”出,即回路中电流从标有“+”标志的红表笔进去,所以与A相连的表笔颜色是红色;当两表笔短接(即Rx=0)时,电流表应调至满偏电流Ig,设此时欧姆表的内阻为R内此时有关系?Ig= 本题难度:一般 3、实验题 某同学将铜片和锌片插入水果中制成一个“水果电池”,该同学利用下列所给器材测量该“水果电池”的电动势E和内阻r. |
?

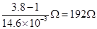
参考答案:(1)A2 V1 R1 
(2)U-I图线见下图 3.80 190(188-192Ω)
本题解析:(1)因为水果电池电动势E约为4 V,内阻r约为200 Ω,所以电路的电流不超过
,故电流表选A2,电压表选V1,滑动变阻器选R1; 电路如图;(2)画出的U-I
图线如图,求得“水果电池”的电动势E=3.8V,内电阻r=
.
?
本题难度:一般
4、实验题 贾老师要求同学们测出一待测电源的电动势及内阻.所给的实验器材有:待测电源E,定值电阻R1(阻值未知),电压表V(量程为3.0 V,内阻很大),电阻箱R(0~99.99 Ω),单刀单掷开关S1,单刀双掷开关S2,导线若干.
(1)珊珊连接了一个如下图所示的电路,她接下来的操作是:
①将S2接到a,闭合S1,拨动电阻箱旋钮,使各旋钮盘的刻度处于如图甲所示的位置,记录下对应的电压表示数为2.20 V,然后断开S1;
②保持电阻箱示数不变,将S2切换到b,闭合S1,记录此时电压表的读数(电压表的示数如图乙所示),然后断开S1.
请你解答下列问题:
图甲所示电阻箱的读数为________Ω,图乙所示的电压表读数为________V.由此可算出定值电阻R1的阻值为________Ω(计算结果保留三位有效数字).
(2)在完成上述操作后,珊珊继续以下的操作:
将S2切换到a,多次调节电阻箱,闭合S1,读出多组电阻箱的示数R和对应的电压表示数U,由测得的数据,绘出了如图丙所示的
图线.
由此可求得电源电动势E=________ V,电源内阻r=________Ω.
参考答案:(1)20.00 2.80 5.45 (2)2.9 0.26
本题解析:(1)电阻箱的阻值等于
.图乙电压表的示数为2.80V,根据闭合电路欧姆定律得,
.调节电阻箱时,需切断电源.
(2)将定值电阻等效到电源的内部,根据
得,
,知纵轴截距的倒数为电动势,所以
.
点评:此题通过实验操作、读数以及对实验方法的理解等多方面考查考生的实验探究能力.
本题难度:一般
5、选择题 用伏安法测电阻时,按甲图所示电路测得的结果是R1,按乙图所示电路测得的结果是R2,若电阻的真实值是R,则( ? )
A.R1>R>R2
B.R1<R<R2
C.R<R1,R<R2
D.R>R1,R>R2
参考答案:A
本题解析:
本题难度:一般
| 【大 中 小】【打印】 【繁体】 【关闭】 【返回顶部】 | |
| 下一篇:高中物理知识点复习《电磁场与电.. | |