1、计算题 如图示,质量M=2kg的长木板B静止于光滑水平面上,B的右边放有竖直固定挡板。现有一小物体A(可视为质点)质量为m=1kg,以初速度
从B的左端水平滑上B。已知A与B间的动摩擦因数
,A始终未滑离B,B与竖直挡板碰前A和B已相对静止,B与挡板的碰撞时间极短,碰后以原速率弹回(g取10m/s2)。求:
(1)B与挡板相碰时的速度
(2)A滑上B至B与挡板相碰前瞬间,A相对B的位移
(3)最终AB的速度
参考答案:(1)设B与挡板相碰时的速度大小为
,由动量守恒定律
(4分)?
(2分)
(2)A滑上B至B与挡板相碰过程中,A、B间的相对位移为
,根据动能定理,有
?(4分)?解得?
(2分)
B与挡板碰后,A、B最后一起向左运动,共同速度大小为
,由动量守恒定律
?(4分)?
(2分)
本题解析:略
本题难度:一般
2、简答题 .如图所示,质量为M的长滑块静止在光滑水平面上,左侧固定一劲度系数k足够大的水平轻质弹簧,右侧用一不可伸长的细轻绳连接于竖直墙上,细绳所能承受的最大拉力为T。使一质量为m、初速度为v0的小物块,在滑块上无摩擦地向左滑动,而后压缩弹簧。(弹簧弹性势能的表达式
,其中k为劲度系数,x为弹簧的压缩量)

(1)给出细绳被拉断的条件. (2)滑块在细绳拉断后被加速的过程中,所能获得的最大向左加速度为多少.
参考答案:(1)
(2)
本题解析:(1) 设细绳刚被拉断时弹簧的压缩量为x0,此时有 kx0=T
为使弹簧压缩达到x0,对小物块要求是?
由此得到细细绳被拉断的条件?
(2) 绳断时,小物体速度为v1,则有?
解得?
而后M在弹力作用下由静止开始加速,直至与m达到共同速度v2,此时弹簧压缩时x最大,则由能量、动量守恒关系
mv1=(M+m)v2?
此时该M加速度最大为?
本题难度:一般
3、选择题 某静止的放射性元素的原子核
X,放出一个α粒子后转变成某种新粒子Y,设衰变过程产生的核能以动能的形式释放出来,若已知α粒子的动能为Ek,真空中光速为c,则( )
A.Y的动能为
B.Y的动能为?
C.衰变过程中的质量亏损为
D.衰变过程中的质量亏损为
参考答案:(1)核反应过程中,质量数与核电荷数守恒,α粒子的质量数是4,则新核Y的质量数是m-4,
设α粒子的速度为v,由动量守恒定律得:4v+(m-4)v′=0,可得
v′=-4vm-4,α粒子的动能:
EK=12mαv2=12×4×v2=2v2,新核Y的动能EKY=12(m-4)v′2=12(m-4)(4vm-4)22=8v2m-4=4Ekm-4,
故A错误,B正确;
(2)核反应释放的能量E=EK+EKY=EK+4Ekm-4=mm-4Ek,由质能方程可知:E=△mc2
质量亏损△m=Ec2=mEk(m-4)c2,故C正确D错误.
故选BC.
本题解析:
本题难度:简单
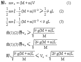
4、简答题 如图所示长为L质量为M的长木板静止在光滑水平面上,A,B为其端点,O为中心,质量为m长度可忽略的小木块以
水平地沿木块表面滑来,两物体间动摩擦因数为μ,问
在什么范围内才能使小木块滑到OB之间停下来?

参考答案:

本题解析:

本题难度:简单
5、实验题 “实验:探究碰撞中的不变量”的基本思路是:
(1)______________________________;
(2)______________________________。
参考答案:(1)与物体运动有关的物理量可能有哪些
(2)碰撞前后哪个物理量可能是不变的
本题解析:
本题难度:一般