微信搜索关注"91考试网"公众号,领30元,获取公务员、事业编、教师等考试资料40G!
1、实验题 一个欧姆表共有(×1档)、(×10档)、(×100档)、(×1K档),中心刻度值是100,用该表的(×1档)测量一个电阻,指针偏转角度很小,指在1K与2K之间,若要较精确测出该电阻的阻值,应选用___________档测量,换档后,首先要进行_________________。
如图为某同学用多用电表测电阻时的表头和功能选择开关的情况。由图可读出其所测电阻的阻值为_______________
。
参考答案:见解析
本题解析:
选×1档, 指针偏转角度很小,说明倍率选小了,应该选×10档,换挡后要重新短接欧姆凋零。答案:×10;欧姆凋零;2000Ω
本题难度:简单
2、实验题 (12分)在“测定金属的电阻率”实验中,所用测量仪器均已校准,待测金属丝接入电路部分的长度约为50cm。
(1)用螺旋测微器测量金属丝的直径,其中某一次测量结果如图1所示,其读数应为___________mm(该值接近多次测量的平均值);

(2)用伏安法测金属丝的电阻Rx.实验所用器材为:电池组(电动势为3V,内阻约1Ω)、电流表(内阻约0.1Ω)、电压表(内阻约3kΩ)、滑动变阻器R(0~20Ω,额定电流2A)、开关、导线若干. 某小组同学利用以上器材正确连接好电路,进行实验测量,记录数据如下:
次数
| 1
| 2
| 3
| 4
| 5
| 6
| 7
|
U/V
| 0
| 0.10
| 0.30
| 0.70
| 1.00
| 1.50
| 1.70
|
I/A
| 0
| 0.020
| 0.060
| 0.160
| 0.220
| 0.340
| 0.460
|
由以上数据可知,他们测量Rx是采用图2中的_________图;

(3)图3是测量Rx的实验器材实物图,图中已连接了部分导线,滑动变阻器的滑片P置于变阻器的一端.请根据图(2)所选的电路图,补充完成图3中实物间的连线,并使闭合开关的瞬间,电压表或电流表不至于被烧坏;


(4)这个小组的同学在坐标纸上建立U、I坐标系,如图4所示,请根据实验记录数据描绘出U─I图线,由图线得到金属丝的阻值Rx=___________
(保留两位有效数字);
(5)根据以上数据可以估算出金属丝的电阻率约为___________(填选项前的符号)。
A.1×10-2
m? B.1×10-3
m? C.1×10-6
m? D.1×10-8
m
参考答案:(1)(0.395~0.399)(2分)(2)甲(2分)(3)如答图3(2分)

(4)如答图4(2分)(4.3~4.7)(2分)(5)C (2分)
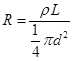
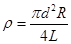
本题解析:(1)螺旋测微器的读数为d=0+39.9×0.01mm=0.399mm(0.395~0.399都对);(2)由给出的数据表可知,电流和电压从零调,所以滑动变阻器应用分压式接法;由待测金属丝电阻远小于电压表内阻,所以电流表应用外接法,故应采用甲图。(3)如答图3?(4)如答图4 (4.3~4.7)(5)由
可得
,带入数据可得ρ=1×10-6Ω?m,所以C正确。
本题难度:简单
3、简答题 I.在“长度的测量”实验中,调整卡尺两测脚间距离,主尺和游标的位置如图1所示.

此时卡尺两测脚间狭缝宽度为______?mm;若要狭缝宽度调到0.20mm,应使游标上第______条刻度线与主尺上表示______?mm的刻度线重合.
II.在把电流表改装成电压表的实验中,所用电流表G的满偏电流Ig=200μA,内阻Rg估计在400Ω到600Ω之间.
(1)按图2测定电流表G的内阻Rg,需要选用合适的器材,现有供选用的器材如下:
A.滑动变阻器(阻值范围0-200Ω)
B.滑动变阻器(阻值范围0-1750Ω)
C.电阻箱(阻值范围0-999Ω)
D.电阻箱(阻值范围0-99999Ω)
E.电源(电动势6V,内阻0.3Ω)
F.电源(电动势12V,内阻0.6Ω)
按实验要求,电路图中的R最好选用______,R’最好选用______,E最好选用______.(填入选用器材的字母代号)
(2)假定由上述步骤已测出电流表内阻Rg=500Ω,现在通过串联一个24.5kΩ的电阻把它改装成为一个电压表,此电压表的量程为______V.
(3)图3是测定未知电阻Rx的电路图,图4是电路中所需要的器材(虚线框内为上述已改装好的电压表),请按电路图画出连线,将所示器材接成实验电路.
(4)测量时,电流表的读数为0.20A,而改装后的电压表的表头读数如图5所示,那么Rx的阻值等于______Ω.
参考答案:I.游标卡尺的主尺读数为0mm,游标读数为0.05×13=0.65mm,所以最终读数为0.65mm.
若要狭缝宽度调到0.20mm,应使游标上第4条刻度线与主尺上表示4mm的刻度线重合.
II.(1)因K2闭合前后总电流变化要很小,则串联的R的阻值要大故R选D,并联的电阻要与电流表的内阻相当,故R′选C,
? 因总电阻大,则电动势要大一些选F.
? (2)改装成电压表的量程为U:为U=Ig(Rg+R)=200×10-6×(500+24.5×103)=5.0V
? (3)按电路图沿电流流向连接实物图,注意正负接线柱.连接如图所示

(4)电流压表的读数为:I(Rg+R)=120×10-6(500+24.5×103)=3v
? ?则阻值RX=UI=15Ω
故答案为:I.0.65,4,4.
II.(1)D、C、F
? ( 2)5.0
? (3)电路连接如图
? (4)15?
本题解析:
本题难度:一般
4、实验题 在《电场中等势线的描述》实验中,图中a、b、c、d、e为间距相等的五个基准点,A、B为电极,当电流从正接线柱流人G表时,其指针向正接线柱一侧偏转,当G表的指针指??时,说明探针所接触的两点正是等势点;当探针I接d点,探针Ⅱ接在某点时,G表指针偏向负接线柱一侧,为了找到等势点,探针Ⅱ向??(填“左”或“右”)移,才能找到等电势点学
参考答案:零;左
本题解析:略
本题难度:一般
5、简答题 一个电流、电压两用表的电路如图所示,小量程电流表G的量程是0.001A,内阻是100Ω,两个电阻的阻值是
,问:
(1)双刀双掷电键接到哪边是电流表,接到哪边是电压表?
(2)电流表、电压表的量程各是多大?
参考答案:(1)电键接到c、d上是电流表,接到a、b上是电压表 (2)0.1A;10V
本题解析:(1)电键接到左边c、d上是电流表;接到右边a、b上是电压表。
(2)当电键接到c、d上时,电阻
与小量程电流表G并联,
不起作用,小量程电流表G满偏时,通过电阻
的电流为
,所以做为电流表时的量程为
;当电键接到a、b上时,电阻
与小量程电流表G串联,
不起作用,小量程电流表G满偏时,加在小量程电流表G和电阻
上的总电压为
,所以作为电压表时的量程为10V。
本题难度:一般